Solución
S X : Desviación estándar muestral de los montos de pago de las tarjetas de crédito σ = S/. 120, n = 31
Se sabe que: 
Se solicita calcular: P ( S ≥ 150)
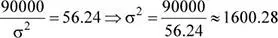
10.En las cajas rápidas de un supermercado se realizará un análisis de los tiempos de atención. Si sobre la base de una muestra de 37 clientes se ha determinado que existe una probabilidad de 0.983 de que la varianza muestral sea a lo más 2500 segundos 2, ¿cuál es el valor de la varianza poblacional de los tiempos de atención que permitió el cálculo de dicha probabilidad?
Solución
: Varianza muestral de los tiempos de atención de los clientes en las cajas rápidas σ = ? segundos, n = 37.
Se sabe que: 
Se solicita calcular σ 2, tal que: P ( S 2≤ 50 2) = 0.983
Entonces:
segundos 2
Distribución de la proporción muestral( p )
11.Un psicólogo clínico con amplia experiencia profesional ha establecido que el 80 % de los pacientes logran vencer la aerofobia (miedo a volar en aviones).
a) Si selecciona al azar 320 historias clínicas entre sus pacientes tratados de este tipo de fobia para usarlas en una conferencia sobre el tema, ¿cuál es la probabilidad de que a lo más el 75 % haya logrado superar su aerofobia?
Solución
p : Proporción muestral de pacientes que vencen su aerofobia
π = 0.80, n = 320
Se sabe que: 
Se tiene que: 
Luego, la probabilidad solicitada es: P ( p ≤ 0.75)
P ( p ≤ 0.75) = 0.01267
b) El psicólogo es contratado por una aerolínea para que atienda a sus clientes potenciales, ya que esta aerolínea ofrece apoyo psicológico gratuito a las personas que lo soliciten. Si al psicólogo se le ha asignado un grupo de 80 personas con aerofobia, y se le ha ofrecido un bono especial si por lo menos 70 de las personas logran vencer su aerofobia, ¿cuál es la probabilidad de que el psicólogo obtenga el mencionado bono?
Solución
X : Número de personas, de las 80 asignadas, que logran vencer su aerofobia
Se tiene que:
Se solicita calcular la probabilidad de obtener el bono: P ( x ≥ 70)
12.Un profesor de estadística ha determinado que el tiempo de realización de un examen por parte de los alumnos es una variable aleatoria normal con media 80 minutos y con desviación estándar 6 minutos. Si 50 alumnos van a rendir el examen, ¿cuál es la probabilidad de que por lo menos el 98 % de dichos alumnos logre realizar el examen en a lo más 90 minutos?
Solución
X : Tiempo de realización del examen
X ∼ N (80;6 2)
Probabilidad de que el tiempo de realización sea de a lo más 90 min
P ( X ≤ 90) = 0.9522
p Proporción muestral de los 50 alumnos que realizarán el examen en a lo más 90 min
Donde: π = P ( X ≤ 90) = 0.9522 (proporción real de alumnos que realizan el examen en a lo más 90 minutos), n = 50
Se tiene que
Luego, la probabilidad solicitada es:
P ( p ≥ 0.98) = 0.1784
Distribución de la diferencia de medias muestrales 
Poblaciones normales con σ conocidas, σ desconocidas (homogéneas o heterogéneas)
13.Fénix Power es una empresa que está construyendo una termoeléctrica en el poblado de Las Salinas, y utilizará el agua de mar para el sistema de enfriamiento. Al borde de Las Salinas está la playa Yaya, lugar donde se realiza pesca artesanal y que presumiblemente será afectada por las operaciones de la termoeléctrica. La empresa encargó un estudio de impacto ambiental, con el que se obtuvo la siguiente información:
i . Tipos de pesca artesanal más importantes: Pinta (A) y Trasmallo (B).
ii . El valor semanal (en miles de nuevos soles) de la pesca tipo A en la playa Yaya tiene una distribución normal con media 40 y desviación estándar 15.
iii . El valor semanal (en miles de nuevos soles) de la pesca tipo B en la playa Yaya tiene una distribución normal con media 60 y desviación estándar 20.
Si se selecciona al azar 36 semanas de la pesca tipo B y 30 semanas de la pesca tipo A, ¿cuál es la probabilidad de que el promedio muestral del tipo B sea mayor que el promedio muestral del tipo A en más de 25 000 nuevos soles?
Solución
B: Media muestral del valor semanal de la pesca tipo B
μ B= 60 000 nuevos soles, σ B= 20 000 nuevos soles, n B = 36
A: Media muestral del valor semanal de la pesca tipo A
μ A= 40 000 nuevos soles, σ A= 15 000 000 nuevos soles, n A = 30
Se sabe que: 
Читать дальше