Mohammad Asadzadeh - An Introduction to the Finite Element Method for Differential Equations
Здесь есть возможность читать онлайн «Mohammad Asadzadeh - An Introduction to the Finite Element Method for Differential Equations» — ознакомительный отрывок электронной книги совершенно бесплатно, а после прочтения отрывка купить полную версию. В некоторых случаях можно слушать аудио, скачать через торрент в формате fb2 и присутствует краткое содержание. Жанр: unrecognised, на английском языке. Описание произведения, (предисловие) а так же отзывы посетителей доступны на портале библиотеки ЛибКат.
- Название:An Introduction to the Finite Element Method for Differential Equations
- Автор:
- Жанр:
- Год:неизвестен
- ISBN:нет данных
- Рейтинг книги:3 / 5. Голосов: 1
-
Избранное:Добавить в избранное
- Отзывы:
-
Ваша оценка:
An Introduction to the Finite Element Method for Differential Equations: краткое содержание, описание и аннотация
Предлагаем к чтению аннотацию, описание, краткое содержание или предисловие (зависит от того, что написал сам автор книги «An Introduction to the Finite Element Method for Differential Equations»). Если вы не нашли необходимую информацию о книге — напишите в комментариях, мы постараемся отыскать её.
An Introduction to the Finite Element Method (FEM) for Differential Equations
An Introduction to the Finite Element Method
is a linear equation, while
is a nonlinear equation. The nonlinear equations are often further classified into subclasses according to the type of their nonlinearity. Generally, the nonlinearity is more pronounced when it appears in higher‐order derivatives. For example, the following equations are both nonlinear

denotes the norm of the gradient of
. While ( 1.3.5) is nonlinear, it is still linear as a function of the highest‐order derivative (here
and
). Such a nonlinearity is called quasilinear . On the other hand, in ( 1.3.4), the nonlinearity is only in the unknown solution
. Such equations are called semilinear .
where
. We denote by
the operation of a mapping (operator)
on a function
.
that satisfies
and
are functions, is called a linear operator. We may generalize ( 1.4.1) as
maps any linear combination of
's to corresponding linear combination of
's.
defined on the space of continuous functions on
defines a linear operator from
into
, which satisfies both ( 1.4.1) and ( 1.4.2).
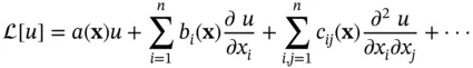
that transforms a function
of the variables
into another function
is given by
represents any function in, say
, and the dots at the end indicate higher‐order derivatives, but the sums contain only finitely many terms.
is given by ( 1.4.3) and
, are any set of functions possessing the requisite derivatives, and
are any constants, then relation ( 1.4.2) is fulfilled. This is an immediate consequence of the fact that ( 1.4.1) and ( 1.4.2) are valid for
replaced with the derivative of any admissible order. A linear differential equation defines a linear differential operator: the equation can be expressed as
, where
is a linear operator and
is a given function. The differential equation of the form
is called a homogeneous equation . For example, define the operator
. Then