(1.5.4) 
which expresses conservation of energy in differential equation form. We need an additional equation that relates the heat flux
to the temperature gradient
called a constitutive equation. The simplest constitutive equation for heat flow is Fourier's law :
(1.5.5) 
which states that heat flows from warm regions to cold regions at a rate proportional to the temperature gradient
. The constant of proportionality is the coefficient of heat conductivity
, which we assume to be a positive function in
. Combining ( 1.5.4) and ( 1.5.5) gives the stationary heat equation in one dimension :
(1.5.6) 
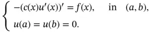
To define a solution
uniquely, the differential equation is complemented by boundary conditions imposed at the boundary points
and
. A common example is the homogeneous Dirichlet conditions
, corresponding to keeping the temperature at zero at the endpoints of the wire. The result is a two‐point BVP :
(1.5.7) 
The boundary condition
may be replaced by
, corresponding to prescribing zero heat flux, or insulating the wire, at
. Later, we also consider nonhomogeneous boundary conditions of the form
or
where
and
may be different from zero. For other types of boundary conditions, see Trinities ( Section 1.2).
The time‐dependent heat equation in ( 1.5.2) describes the diffusion of thermal energy in a homogeneous material, where
is the temperature at a position
at time
and
is called thermal diffusivity or heat conductivity (corresponding to
in ( 1.5.5)–( 1.5.7)) of the material.
The heat equation can be used to model the heat flow in solids and fluids, in the latter case, however, it does not take into account the convection phenomenon; and provides a reasonable model only if phenomena such as macroscopic currents in the fluid are not present (or negligible). Further, the heat equation is not a fundamental law of physics, and it does not give reliable answers at very low or very high temperatures.
Since temperature is related to heat, which is a form of energy, the basic idea in deriving the heat equation is to use the law of conservation of energy . Below we derive the general form of the heat equation in arbitrary dimension.
1.5.2.2 Fourier's Law of Heat Conduction, Derivation of the Heat Equation
Let
be a fixed spatial domain with boundary
. The rate of change of thermal energy with respect to time in
is equal to the net flow of energy across the boundary of
plus the rate at which heat is generated within
.
Let
denote the temperature at the position
and at time
. We assume that the solid is at rest and that it is rigid, so that the only energy present is thermal energy and the density
is independent of the time
and temperature
. Let
denote the energy per unit mass. Then the amount of thermal energy in
is given by
Читать дальше