Gonzalo Masjuán - Trigonometría y geometría analítica
Здесь есть возможность читать онлайн «Gonzalo Masjuán - Trigonometría y geometría analítica» — ознакомительный отрывок электронной книги совершенно бесплатно, а после прочтения отрывка купить полную версию. В некоторых случаях можно слушать аудио, скачать через торрент в формате fb2 и присутствует краткое содержание. Жанр: unrecognised, на испанском языке. Описание произведения, (предисловие) а так же отзывы посетителей доступны на портале библиотеки ЛибКат.
- Название:Trigonometría y geometría analítica
- Автор:
- Жанр:
- Год:неизвестен
- ISBN:нет данных
- Рейтинг книги:4 / 5. Голосов: 1
-
Избранное:Добавить в избранное
- Отзывы:
-
Ваша оценка:
Trigonometría y geometría analítica: краткое содержание, описание и аннотация
Предлагаем к чтению аннотацию, описание, краткое содержание или предисловие (зависит от того, что написал сам автор книги «Trigonometría y geometría analítica»). Если вы не нашли необходимую информацию о книге — напишите в комментариях, мы постараемся отыскать её.
integrar en un solo volumen la trigonometría, la geometría analítica, el álgebra vectorial y los números complejos, de modo que en conjunto permitan desarrollar una adecuada intuición geométrica y abordar la resolución de los diversos problemas que estas áreas consideran. La concepción pedagógica del texto permite presentar el tema como una geometría esencialmente formativa, pero también realista y utilitaria, abierta a otras áreas del conocimiento. Está dirigida a alumnos de la más diversa capacidad.
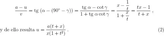
y, con los datos, se llega a h ≈ 515 , 7004549 m.
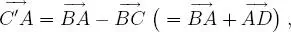
es el vector velocidad del viento
es el vector velocidad del avión con viento en calma, luego ≮ SBC = α = 21 ◦y ≮ C′BA = β = 59 ◦.