René Schäfer - Das Baustellenhandbuch für den Tiefbau

Здесь есть возможность читать онлайн «René Schäfer - Das Baustellenhandbuch für den Tiefbau» — ознакомительный отрывок электронной книги совершенно бесплатно, а после прочтения отрывка купить полную версию. В некоторых случаях можно слушать аудио, скачать через торрент в формате fb2 и присутствует краткое содержание. Жанр: unrecognised, на немецком языке. Описание произведения, (предисловие) а так же отзывы посетителей доступны на портале библиотеки ЛибКат.

Das Baustellenhandbuch für den Tiefbau: краткое содержание, описание и аннотация

Предлагаем к чтению аннотацию, описание, краткое содержание или предисловие (зависит от того, что написал сам автор книги «Das Baustellenhandbuch für den Tiefbau»). Если вы не нашли необходимую информацию о книге — напишите в комментариях, мы постараемся отыскать её.

Gerade im Bereich des Tiefbaus müssen viele Entscheidungen direkt vor Ort auf der Baustelle getroffen und die Arbeiten entsprechend den zahlreichen gültigen Richtlinien korrekt ausgeführt werden. Denn Nachbesserungen sind extrem aufwändig und kostspielig! Selbst Profis können dazu nicht alle aktuellen Normen und Richtlinien im Kopf haben.
Das Baustellenhandbuch liefert deshalb alle wichtigen Vorgaben zum Tiefbau gemäß der aktuellen DIN-Normen und Richtlinien.
Dieses bietet folgende Vorteile:
– Beinhaltet genau das, worauf es speziell im Tiefbau ankommt – praktisch sortiert nach Gewerken von A-Z
– Alle Anforderungen gemäß aktueller Vorgaben und DIN-Normen: Korrekte Ausführung und Abrechnung, normgerechte Mess- und Prüfverfahren…
– Anschauliche Darstellung durch zahlreiche Schemazeichnungen und Tabellen
– Für die Arbeit am PC oder unterwegs unterstützt das E-Book mit komfortablen Suchfunktionen und praktischen Verlinkungen
Dieses Buch ist genau das Richtige für:
Bauunternehmen (sowohl für Tiefbau als auch für Hochbau) und Spezialtiefbauunternehmen, Ingenieure, Tiefbauämter, Bauhöfe, Städte und Gemeinden, Energieversorger
Inhaltskurzübersicht
I. Baugrunderkundung und Bodenklassifikation
1 Baugrunderkundung im Feld (nach DIN EN 1997-2 und DIN 4020, Güteklassen Probennahme; Erkundungsverfahren)
2 Laborversuche (Boden / Fels, LAGA; Wasser)
3 Bodenansprache und Bodenklassifikation (Bodenansprache, Bodengruppen nach DIN 18196, Bodenklassen / Homogenbereichsprinzip DIN 18300 ff, 3.4 Bodenkenngrößen nach DIN 1055-2, LAGA)
4 Festlegung von Bau- und Bemessungswasserstände
5 Grundlagen der Bemessung geotechnischer Bauwerke
II. Ausführung von Tiefbauarbeiten
1. Gründungen (Flachgründung, Tiefgründung)
2. Baugrundverbesserung (Austausch / Polster, Verdichtung, Stabilisierung mit Bindemittel, Injektionen)
3. Baugruben (unverbaute Baugruben, Systemverbau, Trägerverbau, Spundwand, Bohrpfahlwand, Schlitzwand, Baugruben im Grundwasser)
4. Unterfangungen
5. Erdbau / Verkehrswege
6. Leitungsbau (offene Verlegung, geschlossene Verlegung)
7. Abdichtung und Entwässerung
8. Grundwasserhaltung bei der Bauausführung (offene Wasserhaltung, geschlossene Wasserhaltung)
9. Abbruch und Rückbau
10. Sicherung von Geländesprüngen (Stützwände, Gabionen, bewehrte Erde, Bodenvernagelung)
11. Verankerungen
12. Bodenverwertung
III. Mess-, Kontroll- und Prüfverfahren
Qualitätssicherung, baubegleitende Verformungsmessungen, Beweissicherung, Prüfung der Verdichtung im Erdbau, Ankerprüfungen, Integritätstests, Leckageortung bei Baugruben
IV. Absteckung und Aufmaß

Das Baustellenhandbuch für den Tiefbau — читать онлайн ознакомительный отрывок

Ниже представлен текст книги, разбитый по страницам. Система сохранения места последней прочитанной страницы, позволяет с удобством читать онлайн бесплатно книгу «Das Baustellenhandbuch für den Tiefbau», без необходимости каждый раз заново искать на чём Вы остановились. Поставьте закладку, и сможете в любой момент перейти на страницу, на которой закончили чтение.

Тёмная тема
Сбросить

Интервал:

Закладка:

Сделать
D 0–0,15 0,15–0,30 0,30–0,50 0,50–0,80 > 0,80
Lagerungsdichte sehr locker locker mitteldicht dicht sehr dicht

Tab. 9: Lagerungsdichte, Einteilung in Bereiche (Quelle: Hrsg. K. J. Witt, Grundbau-Taschenbuch Teil 2: Geotechnische Verfahren, 939 Seiten, 2009, Copyright Wilhelm Ernst & Sohn Verlag für Architektur und technische Wissenschaften GmbH & Co. KG. Reproduced with permission.)

Insbesondere bei locker oder sehr locker gelagerten Böden kann es infolge von Bautätigkeiten zu einer Nachverdichtung des Bodens und damit auch zu ungewollten Setzungen kommen (z. B. durch Vibrationen beim Einrammen von Spundbohlen). Weiterhin sind locker gelagerte Böden für Gründungen i. d. R. ungeeignet, sodass eine Baugrundverbesserung {Baugrundverbesserung} in Form einer Nachverdichtung (Oberflächen- oder Tiefenverdichtung) erforderlich wird.

Verdichtungsfähigkeit {Verdichtungsfähigkeit} – Proctorversuch {Proctorversuch} {Proctorversuch} (DIN 18127)

Bei bindigen Böden hängt die Verdichtungsfähigkeit sehr stark vom Wassergehalt ab. Sowohl bei zu niedrigem als auch bei zu hohem Wassergehalt lässt sich der Boden nicht ausreichend verdichten mit der Folge, dass die geforderten Anforderungen an den Verdichtungsgrad und die bodenmechanischen Eigenschaften nicht erreicht werden. Grundsätzlich gilt dieser Zusammenhang auch für nicht bindige Böden, wobei jedoch die Abhängigkeit der Verdichtungsfähigkeit vom Wassergehalt weniger ausgeprägt ist.

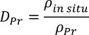
Zur Untersuchung des Einflusses des Wassergehalts auf die Verdichtungsfähigkeit können Proctorversuche durchgeführt werden. Bei diesen wird der Boden bei verschiedenen Wassergehalten unter Verwendung einer genormten Verdichtungsenergie verdichtet. Der Wassergehalt, bei dem die maximale Dichte erreicht wird, wird als optimaler Wassergehalt bezeichnet, die zugehörige Dichte als Proctordichte {Proctordichte} ρPr (Trockendichte).

Die in situ auf einer Baustelle erreichte Dichte kann auf die Proctordichte DPr bezogen werden

Das Baustellenhandbuch für den Tiefbau - изображение 39

und wird als Verdichtungsgrad {Verdichtungsgrad} bezeichnet. Da die Anforderungen im Erdbau {Erdbau} meist in Form von Verdichtungsgraden formuliert werden (z. B. 97 % Proctordichte), hat der Proctorversuch {Proctorversuch} im Erdbau große Bedeutung. Ferner können mit diesem Versuch die optimalen Einbaubedingungen vorab ermittelt werden.

Es sei angemerkt, dass in situ auch Verdichtungsgrade über 100 % erreicht werden können, sofern die aufgebrachte Verdichtungsenergie über die in den Versuchen angewandte hinausgeht.

Verformungsverhalten {Verformungsverhalten} (Kompressionsversuch {Kompressionsversuch})

Zur Bestimmung des Drucksetzungsverhaltens eines Bodens kann ein Kompressionsversuch (DIN 18135) durchgeführt werden, auch Oedometerversuch genannt. Hieraus lässt sich der Steifemodul eines Bodens ableiten, der für die Abschätzung des Setzungsverhaltens eines Bauwerks von großer Bedeutung ist. Der Steifemodul ist keine Bodenkonstante, sondern hängt u. a. vom Lagerungszustand, dem Spannungsniveau und dem Belastungspfad ab. Zur Abschätzung von Bauwerkssetzungen ist ein Steifigkeitsprofil über die Tiefe hilfreich. Dieses kann auf Grundlage der Ergebnisse von Oedometerversuchen an Proben der Kategorie 1 aus unterschiedlichen Tiefen erstellt werden.

Scherfestigkeit {Scherfestigkeit} (Scherversuch {Scherversuch}, ein- und dreiaxialer Druckversuch {Druckversuch, dreiaxialer} {Druckversuch, einaxialer})

Zur Bestimmung der Scherfestigkeit bei dränierten und undränierten Verhältnissen können direkte Scherversuche und ein- und dreiaxiale Druckversuche nach DIN 18137 und DIN 18136 durchgeführt werden. Die Scherfestigkeit {Scherfestigkeit} wird in der Bodenmechanik durch die Kennwerte c‘, cu (Kohäsion) und ϕ', ϕu (Reibungswinkel) ausgedrückt. Diese Kennwerte beschreiben das Bruchverhalten von Böden, deren Kenntnis bei grundlegenden Standsicherheitsnachweisen und Berechnungsmodellen im Erd-und Grundbau notwendig ist (z. B. bei der Ermittlung des Erddrucks, beim Grundbruch- oder Geländebruchnachweis etc.).

Wasserdurchlässigkeit {Wasserdurchlässigkeit}

Die Wasserdurchlässigkeit eines Bodens kann mithilfe von Durchlässigkeitsversuchen im Labor bestimmt werden. Aufgrund des meist inhomogenen und geschichteten Baugrundaufbaus ist i. d. R. mit den an kleinen Proben gewonnenen Durchlässigkeitsbeiwerten keine hinreichend präzise Beschreibung der hydraulischen Eigenschaften des Baugrunds möglich. Zur Bemessung von Wasserhaltungen und sonstigen Brunnen o. ä. sind daher meist in situ Pumpversuche durchzuführen (Hinweise dazu sind in den Kapiteln 2.2 und 13 enthalten).

картинка 40 3.1.2 Fels

Ergänzend zu den o. g. bodenmechanischen Versuchen existieren auch für den Fels spezielle Versuche zur Beschreibung der Eigenschaften. Die wesentlichen Versuche und die hieraus zu gewinnenden Kenngrößen werden nachfolgend kurz angesprochen.

Empfehlungen für die Durchführung und Auswertung von Laborversuchen an Festgestein werden vom Arbeitskreis 3.3: Versuchstechnik Fels der Deutschen Gesellschaft für Geotechnik (DGGT) herausgegeben.

Einaxialer Druckversuch {Druckversuch, einaxialer}

Mit einem einaxialen Druckversuch kann die Druckfestigkeit einer Felsprobe, ähnlich wie im Betonbau bei der Bestimmung der Betondruckfestigkeit, ermittelt werden. Hierzu wird ein zylindrischer Probenkörper mit einem Verhältnis von Höhe zu Durchmesser von mind. zwei zwischen zwei parallelen Druckplatten belastet. Bei einer Instrumentierung mit Dehnungsmessstreifen kann neben der aufgebrachten Druckspannung auch die axiale und radiale Dehnung gemessen werden. Als Ergebnis erhält man dann neben dem Bruchwert der Spannung auch den E-Modul und die Querkontraktionszahl v der untersuchten Probe.

Sofern die Probe Trennflächen o.ä. aufweist, ist die einaxiale Druckfestigkeit sehr stark von der Orientierung der Trennflächen abhängig, da ein Versagen der Probe sowohl in der (meist stärkeren) Gesteinsmatrix als auch in den Trennflächen erfolgen kann.

Punktlastversuch {Punktlastversuch}

Der Punktlastversuch wird üblicherweise den Feldversuchen zugeordnet. Da dieser oft zur Abschätzung der einaxialen Druckfestigkeit herangezogen wird, erfolgt die Beschreibung in diesem Abschnitt.

Beim Punktlastversuch werden unregelmäßige Probestücke in eine Versuchsapparatur eingebaut, welche die Probe durch zwei entgegengesetzt wirkende Kegelspitzen punktförmig belasten. Durch Dividieren der beim Bruch gemessenen Last (Punktlast) durch die Bruchfläche erhält man den sogenannten Punktlastindex (Einheit Spannung). Durch Multiplikation des Punktlastindex mit einem Anpassungsfaktor kann die einaxiale Druckfestigkeit abgeschätzt werden. Es sei angemerkt, dass der Anpassungsfaktor durch eine Kalibrierung mit an Vergleichsproben durchgeführten einaxialen Druckversuchen erfolgen sollte. Ferner ist zu beachten, dass die Ergebnisse deutliche Streubreiten aufweisen können.

Scherversuch {Scherversuch}

Wie Bodenproben können auch Felsproben {Felsproben} in einem Scherversuch auf Schub beansprucht werden. Bei Proben aus Festgestein wird ein solcher Versuch meist durch eine im Gefüge vorhandene Fuge (Trennfläche, Schichtfläche) geführt. Als Ergebnis erhält man dann die Scherfestigkeit {Scherfestigkeit} ck und ϕk auf der untersuchten Trennfläche. Es sei darauf hingewiesen, dass die an einer kleinen Felsprobe ermittelten Scherparameter nicht ohne Weiteres auf größere Bereiche übertragen werden können.

Читать дальше
Тёмная тема
Сбросить

Интервал:

Закладка:

Сделать

Похожие книги на «Das Baustellenhandbuch für den Tiefbau»

Представляем Вашему вниманию похожие книги на «Das Baustellenhandbuch für den Tiefbau» списком для выбора. Мы отобрали схожую по названию и смыслу литературу в надежде предоставить читателям больше вариантов отыскать новые, интересные, ещё непрочитанные произведения.


Отзывы о книге «Das Baustellenhandbuch für den Tiefbau»

Обсуждение, отзывы о книге «Das Baustellenhandbuch für den Tiefbau» и просто собственные мнения читателей. Оставьте ваши комментарии, напишите, что Вы думаете о произведении, его смысле или главных героях. Укажите что конкретно понравилось, а что нет, и почему Вы так считаете.

x