Gonzalo Masjuán - Trigonometría y geometría analítica

Здесь есть возможность читать онлайн «Gonzalo Masjuán - Trigonometría y geometría analítica» — ознакомительный отрывок электронной книги совершенно бесплатно, а после прочтения отрывка купить полную версию. В некоторых случаях можно слушать аудио, скачать через торрент в формате fb2 и присутствует краткое содержание. Жанр: unrecognised, на испанском языке. Описание произведения, (предисловие) а так же отзывы посетителей доступны на портале библиотеки ЛибКат.

Trigonometría y geometría analítica: краткое содержание, описание и аннотация

Предлагаем к чтению аннотацию, описание, краткое содержание или предисловие (зависит от того, что написал сам автор книги «Trigonometría y geometría analítica»). Если вы не нашли необходимую информацию о книге — напишите в комментариях, мы постараемся отыскать её.

El propósito de este texto es homogeneizar los conceptos geométricos que presentan los estudiantes de enseñanza media al ingresar a la universidad y, además,
integrar en un solo volumen la trigonometría, la geometría analítica, el álgebra vectorial y los números complejos, de modo que en conjunto permitan desarrollar una adecuada intuición geométrica y abordar la resolución de los diversos problemas que estas áreas consideran. La concepción pedagógica del texto permite presentar el tema como una geometría esencialmente formativa, pero también realista y utilitaria, abierta a otras áreas del conocimiento. Está dirigida a alumnos de la más diversa capacidad.

Trigonometría y geometría analítica — читать онлайн ознакомительный отрывок

Ниже представлен текст книги, разбитый по страницам. Система сохранения места последней прочитанной страницы, позволяет с удобством читать онлайн бесплатно книгу «Trigonometría y geometría analítica», без необходимости каждый раз заново искать на чём Вы остановились. Поставьте закладку, и сможете в любой момент перейти на страницу, на которой закончили чтение.

Тёмная тема
Сбросить

Интервал:

Закладка:

Сделать
Fig 28 2Cuando una función es impar su gráfico es simétrico con respecto - фото 364

Fig. 2.8

(2)Cuando una función es impar su gráfico es simétrico con respecto al origen, ya que si ( x, y ) está en el gráfico también deberá estar el punto (− x,y ), situación que se observa en la figura 2.8y si 0 ∈ dom f obviamente f (0) = 0.

Definición 2.2.2 Dada la función real (no constante) f diremos que ella es función periódica si existe número real positivo r tal que para todo x ∈ R se cumple que:

Trigonometría y geometría analítica - изображение 365

Al menor de tales r positivos para los que se cumple la propiedad señalada le llamaremos el período p de la función f, o sea:

Trigonometría y geometría analítica - изображение 366

Nota:

De la definición se deduce que si f ( x + r ) = f ( x ) también se tendrá:

Trigonometría y geometría analítica - изображение 367

como a la vez:

Trigonometría y geometría analítica - изображение 368

Ejemplo 2.2.3 Pensemos en la función real definida por:

Trigonometría y geometría analítica - изображение 369

donde existe z ∈ Z de modo que x ∈ [2 z −1 , 2 z + 1[ . Haremos ver que f tiene período 2 .

En efecto, vemos que si ∈ Z y para x tal que:

Trigonometría y geometría analítica - изображение 370

se tiene:

Trigonometría y geometría analítica - изображение 371

Además, de 2 − 1 ≤ x ≤ 2 + 1 se consigue:

o mejor y de ello se desprende que o sea que e - фото 372

o mejor:

y de ello se desprende que o sea que el período podría ser r 4 Si - фото 373

y, de ello, se desprende que:

Trigonometría y geometría analítica - изображение 374

o sea que el período podría ser r = 4.

Si nuevamente pensamos en x tal que:

Trigonometría y geometría analítica - изображение 375

o mejor:

y con ello y de esto vemos que el período podría ser r 2 Haremos ver que - фото 376

y, con ello:

y de esto vemos que el período podría ser r 2 Haremos ver que el período es - фото 377

y de esto vemos que el período podría ser r = 2.

Haremos ver que el período es exactamente 2.

En efecto, supongamos que el período es p con 0 < p < 2 y pensemos en x = 0, así f (0) = 0. Pues bien, se presentan los casos:

(1)0 < p ≤ 1 ⇒ f (0 + p ) = p ≠ 0 = f (0) ,

(2)1 < p < 2 ⇒ f (0 + p ) = | p − 2| ≠ 0 = f (0) .

Se concluye entonces que p = 2. Ahora pasamos a presentar en la figura 2.9el gráfico de esta función periódica de período p = 2.

Fig 29 Nota La periodicidad de una función y similarmente con la - фото 378

Fig. 2.9

Nota:

La periodicidad de una función (y similarmente con la paridad y la imparidad) permite estudiarla en un intervalo más restringido, pudiendo luego extender los resultados obtenidos a todo el dominio de la función. Esto haremos precisamente en el ejemplo que presentaremos a continuación.

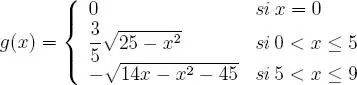
Ejemplo 2.2.4 Dada la función real:

Se pide construir con ella el gráfico de g pero ahora con dominio R sabiendo - фото 379

Se pide construir con ella el gráfico de g pero ahora con dominio R sabiendo que además de ser impar posee período 18 .

Solución:

El gráfico de la función dada al comienzo del enunciado lo vemos en la figura 2.10.

Fig 210 Fig 211 Ahora como debe ser impar procedemos a efectuar simetría - фото 380

Fig. 2.10

Fig 211 Ahora como debe ser impar procedemos a efectuar simetría en torno - фото 381

Fig. 2.11

Ahora, como debe ser impar procedemos a efectuar simetría en torno del origen al gráfico de la figura 6.10 resultando el dibujo de la figura 2.11y observando esta última figura vemos que el gráfico tiene dominio [−9 , 9] que justamente posee longitud 18, o sea, el período pedido. Por lo tanto, procedemos a iterar este gráfico obteniéndose la figura 2.12.

Fig 212 Teorema 221 Para las funciones circulares se tiene que 1 y - фото 382

Fig. 2.12

Teorema 2.2.1 Para las funciones circulares se tiene que:

(1) y = cos x es par y periódica de período 2 π.

(2) y = sen x es impar y periódica de período 2 π.

(3) y = tg x es impar y periódica de período π.

(4) y = cot x es impar y periódica de período π.

(5) y = sec x es par y periódica de período 2 π.

(6) y = cosec x es impar y periódica de período 2 π.

2.3Gráficos de las funciones circulares

Tomando en cuenta los conceptos presentados en el párrafo anterior podemos dejar a cargo del lector el proceder a trazar los gráficos aproximados de las funciones circulares. Conseguirá los esbozos que presentaremos a continuación.

(1) Gráfico de y = cos x

Читать дальше
Тёмная тема
Сбросить

Интервал:

Закладка:

Сделать

Похожие книги на «Trigonometría y geometría analítica»

Представляем Вашему вниманию похожие книги на «Trigonometría y geometría analítica» списком для выбора. Мы отобрали схожую по названию и смыслу литературу в надежде предоставить читателям больше вариантов отыскать новые, интересные, ещё непрочитанные произведения.


Отзывы о книге «Trigonometría y geometría analítica»

Обсуждение, отзывы о книге «Trigonometría y geometría analítica» и просто собственные мнения читателей. Оставьте ваши комментарии, напишите, что Вы думаете о произведении, его смысле или главных героях. Укажите что конкретно понравилось, а что нет, и почему Вы так считаете.

x