1 ...7 8 9 11 12 13 ...24
as easily seen by induction on n . A straightforward computation then yields:
with
The series above makes sense thanks to connectedness, as explained in section 1.3.4. Now let
, and let
. Set φ*t := exp( t log φ ) for t ∈ k . It coincides with the n thconvolution power of φ for any integer n . Hence, φ *tis an
-valued character of ℋ for any t ∈ k . Indeed, for any x, y ∈ ℋ, the expression φ *t( xy ) – φ *t( x ) φ *t( y ) is polynomial in t and vanishes on all integers, and hence, vanishes identically. Differentiating with respect to t at t = 0, we immediately find that log φ is an infinitesimal character. □
1.3.6. Group schemes and the Cartier-Milnor-Moore-Quillen theorem
THEOREM 1.1 (Cartier, Milnor, Moore, Quillen).– Let be a cocommutative connected filtered Hopf algebra and let be the Lie algebra of its primitive elements, endowed with the filtration induced by the one of
, which in turns induces a filtration on the enveloping algebra
. Then ,
and
are the isomorphic as filtered Hopf algebras. If
is graded, then the two Hopf algebras are isomorphic as graded Hopf algebras .
PROOF.– The following proof is borrowed from Foissy’s thesis. The embedding
obviously induces an algebra morphism
[1.27] 
It is easy to show that φ is also a coalgebra morphism. It remains to show that φ is surjective, injective and respects the filtrations. Let us first prove the surjectivity by induction on the coradical filtration degree:
[1.28] 
Set
, and similarly for
. We can limit ourselves to the kernel of the counit. Any
is primitive, hence
is obviously a linear isomorphism. Now, for
(for some integer n ≥ 2), we can write, using cocommutativity:
where the x (j)s are of coradical filtration degree 1, hence primitive. But, we also have:
[1.29] 
Hence, the element
belongs to
. It is a linear combination of products of primitive elements by induction hypothesis, hence so is x . We have thus proven that
is generated by
, which amounts to the surjectivity of φ .
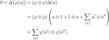
Now consider a nonzero element
, such that φ ( u ) = 0, and such that d ( u ) is minimal. We have already proven d ( u ) ≥ 2. We now compute:
By minimality hypothesis on d ( u ), we then get Σ (u) u ′ ⊗ u ″ = 0. Hence, u is primitive, that is, d ( u ) = 1, a contradiction. Hence, φ is injective. The compatibility with the original filtration or graduation is obvious. □
Now, let ℋ : ∪ n ≥ 0ℋ nbe a connected filtered Hopf algebra and let
be a commutative unital algebra. We suppose that the components of the filtration are finite-dimensional. The group
defined in the previous section depends functorially on the target algebra
: in particular, when the Hopf algebra ℋ itself is commutative, the correspondence
is a group scheme . In the graded case with finite-dimensional components, it is possible to reconstruct the Hopf algebra ℋ from the group scheme. We have indeed:
Читать дальше