Rafael Riddell Carvajal - Fundamentos de ingeniería estructural para estudiantes de arquitectura

Здесь есть возможность читать онлайн «Rafael Riddell Carvajal - Fundamentos de ingeniería estructural para estudiantes de arquitectura» — ознакомительный отрывок электронной книги совершенно бесплатно, а после прочтения отрывка купить полную версию. В некоторых случаях можно слушать аудио, скачать через торрент в формате fb2 и присутствует краткое содержание. Жанр: unrecognised, на испанском языке. Описание произведения, (предисловие) а так же отзывы посетителей доступны на портале библиотеки ЛибКат.

Fundamentos de ingeniería estructural para estudiantes de arquitectura: краткое содержание, описание и аннотация

Предлагаем к чтению аннотацию, описание, краткое содержание или предисловие (зависит от того, что написал сам автор книги «Fundamentos de ingeniería estructural para estudiantes de arquitectura»). Если вы не нашли необходимую информацию о книге — напишите в комментариях, мы постараемся отыскать её.

Este libro entrega una visión global del problema del análisis y diseño estructural para estudiantes de Arquitectura. Su enfoque es esencialmente conceptual, desarrollado en una secuencia lógica basada en principios fundamentales de la física y la mecánica estructural, a fin de dar al estudiante una base racional sólida que le permita comprender cómo funcionan las estructuras, sobre todo desde el punto de vista sísmico. El propósito primordial de esta enseñanza en la carrera de Arquitectura es que los futuros profesionales desarrollen sus obras con un esqueleto resistente sano y que además comprendan que las características y el comportamiento de las estructuras pueden quedar determinadas por el proyecto arquitectónico.

Fundamentos de ingeniería estructural para estudiantes de arquitectura — читать онлайн ознакомительный отрывок

Ниже представлен текст книги, разбитый по страницам. Система сохранения места последней прочитанной страницы, позволяет с удобством читать онлайн бесплатно книгу «Fundamentos de ingeniería estructural para estudiantes de arquitectura», без необходимости каждый раз заново искать на чём Вы остановились. Поставьте закладку, и сможете в любой момент перейти на страницу, на которой закончили чтение.

Тёмная тема
Сбросить

Интервал:

Закладка:

Сделать
Figura E111a SoluciónEn este caso la posición de equilibrio no corresponde - фото 117

Figura E1.11.a

Solución:En este caso la posición de equilibrio no corresponde a aquella de la Fig. E1.9.a porque la armella C se desplazará sobre la cuerda hasta que el bloque adopte la posición más baja posible. Pero esta posición no es conocida a priori y debe ser calculada. Situaciones como ésta ocurren con cierta frecuencia en los problemas de estática, y se dice que en ellas la configuración de equilibrio , o geometría del estado de equilibrio , no es conocida de antemano. Entonces la solución del problema involucra el cálculo de incógnitas geométricas, además de las típicas fuerzas incógnitas. En la Fig. E1.11.b se plantea entonces la configuración de equilibrio en términos de las incógnitas x e y, mientras en la Fig. E1.11.c se muestran las fuerzas del modelo de partícula en el punto C.

Figura E111b y c De estas dos figuras se concluye que el problema tiene 3 - фото 118

Figura E1.11.b y c

De estas dos figuras se concluye que el problema tiene 3 incógnitas: T, x e y (notar que los ángulos α y β no son incógnitas adicionales, ya que si se conocieran x e y, ellos quedarían perfectamente determinados). Para poder resolver el problema se requieren entonces 3 ecuaciones, estas son:

i) La longitud total de la cuerda es la misma del Ejemplo 1.9, es decir según la Fig. E1.9.a:

Pero de la Fig E111b luego ii Equilibrio de - фото 119

Pero, de la Fig. E1.11.b:

luego ii Equilibrio de componentes horizontales en la Fig E111c - фото 120

luego

ii Equilibrio de componentes horizontales en la Fig E111c lo que implica - фото 121

ii) Equilibrio de componentes horizontales en la Fig. E1.11.c:

Fundamentos de ingeniería estructural para estudiantes de arquitectura - изображение 122

lo que implica que α=β y por lo tanto puede plantearse otra ecuación en términos de x e y, por ejemplo utilizando tan α = tan β se tiene

Fundamentos de ingeniería estructural para estudiantes de arquitectura - изображение 123

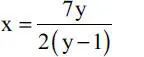
de donde puede despejarse x como

iii Equilibrio de componentes verticales en la FigE111c que entregará el - фото 124

iii) Equilibrio de componentes verticales en la Fig.E1.11.c:

que entregará el valor de T una vez calculado β a partir de x e y Las - фото 125

que entregará el valor de T una vez calculado β a partir de x e y.

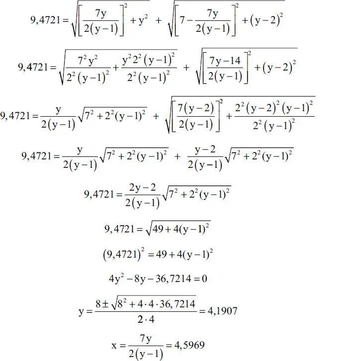
Las ecuaciones derivadas en i e ii permiten calcular x e y. En efecto, introduciendo la segunda en la primera se obtiene una ecuación para y:

Puede entonces determinarse el ángulo β de y finalmente - фото 126

Puede entonces determinarse el ángulo β de:

y finalmente Ejemplo 112 Determinar analíticamente las fuerzas R y T del - фото 127

y finalmente

Ejemplo 112 Determinar analíticamente las fuerzas R y T del problema de la - фото 128

Ejemplo 1.12

Determinar analíticamente las fuerzas R y T del problema de la Fig. 1.32 si W=100 kg, L 1=117 cm, L 2=92 cm, α=31º, y h=112 cm.

Solución:Cabe primero destacar que la solución gráfica que muestra la Fig. 1.32.b es extremadamente simple, ya que basta con adoptar una escala para representar la dimensión de la fuerza W y las direcciones de las fuerzas R y T se toman paralelamente de las direcciones que ellas tienen en la Fig. 1.32.a. Los valores de R y T se leen a la misma escala en la Fig. 1.32.b. La solución analítica que sigue, en cambio, es más elaborada ya que requiere determinar previamente los ángulos β y γ (Fig. E1.12) haciendo uso de las condiciones geométricas del problema. Para ello considérese la Fig. E1.12, donde se tiene que:

Por otra parte tan γ con Pero OB cos β BC cos α AC co - фото 129

Por otra parte, tan γ con Pero OB cos β BC cos α AC cos α 50144 luego - фото 130con

Pero OB cos β BC cos α AC cos α 50144 luego Reemplazando en la - фото 131

Pero, OB cos β = BC cos α = AC cos α = 50,144, luego

Reemplazando en la expresión de AE se tiene luego - фото 132

Reemplazando en la expresión de AE se tiene

luego Figura E112 Finalmente utilizando el polígono de fuerzas en la Fig - фото 133

luego

Figura E112 Finalmente utilizando el polígono de fuerzas en la Fig E112 - фото 134

Figura E1.12

Finalmente, utilizando el polígono de fuerzas en la Fig. E1.12, haciendo equilibrio de fuerzas en direcciones horizontal y vertical respectivamente, se tiene:

Reemplazando la primera ecuación en la segunda queda 16 Equilibrio de un - фото 135

Reemplazando la primera ecuación en la segunda queda:

16 Equilibrio de un Sistema de Partículas 161 Noción de Sistema Cualquier - фото 136

1.6 Equilibrio de un Sistema de Partículas

1.6.1 Noción de Sistema

Cualquier sistema que contenga más de una partícula es un sistema de partículas. Lo más común es que los sistemas estén constituidos por diversos cuerpos, los que a su vez pueden tener distintas partes conformadas por infinitas partículas. Lo importante para el análisis del equilibrio es tener claro cuál es el sistema que se está considerando, al que se aisla arbitrariamente para centrar la atención en él. La Fig. 1.33 muestra diversos sistemas en que el lector puede ejercitarse identificando cuántas partes los componen.

A continuación se analizará en detalle el sistema de la Fig. 1.33.c. Supóngase que interesa analizar el equilibrio del cilindro 1; esta parte, o subsistema del conjunto total, pasa a ser el sistema u objeto en que se centra el interés. Para el análisis del sistema seleccionado se prepara el llamado diagrama de cuerpo libre , en el cual se presenta el cuerpo de interés aislado de los otros cuerpos que interactúan con él. La interacción se representa por medio de las fuerzas que los cuerpos externos al sistema ejercen sobre el cuerpo de interés. Como se aprecia en la Fig. 1.34.a, sobre el cilindro 1 actúan las fuerzas externas siguientes: N, reacción del cilindro 2 sobre el cilindro 1, R, reacción de la pared vertical sobre el cilindro 1, y su propio peso W 1. Se define entonces como fuerza externa de un sistema aquella que es ejercida por una partícula ajena al sistema, mientras que una fuerza que actúa sobre una partícula de un sistema es interna cuando es ejercida por otra partícula del mismo sistema. En la Fig. 1.34.a no aparece ninguna fuerza interna, porque no se han representado las fuerzas de contacto entre las infinitas partículas que constituyen la materia del cilindro 1. Cabe destacar también que el peso W 1es una fuerza externa porque es ejercida por la atracción gravitacional de la Tierra, cuerpo externo al cilindro 1. Ciertamente, para estudiar el equilibrio del cilindro 1, se le puede modelar como una partícula hipotética ubicada en su centro de gravedad, donde concurren las tres fuerzas que actúan sobre él.

Читать дальше
Тёмная тема
Сбросить

Интервал:

Закладка:

Сделать

Похожие книги на «Fundamentos de ingeniería estructural para estudiantes de arquitectura»

Представляем Вашему вниманию похожие книги на «Fundamentos de ingeniería estructural para estudiantes de arquitectura» списком для выбора. Мы отобрали схожую по названию и смыслу литературу в надежде предоставить читателям больше вариантов отыскать новые, интересные, ещё непрочитанные произведения.


Отзывы о книге «Fundamentos de ingeniería estructural para estudiantes de arquitectura»

Обсуждение, отзывы о книге «Fundamentos de ingeniería estructural para estudiantes de arquitectura» и просто собственные мнения читателей. Оставьте ваши комментарии, напишите, что Вы думаете о произведении, его смысле или главных героях. Укажите что конкретно понравилось, а что нет, и почему Вы так считаете.

x