 
N = 882 (población total), Z = 95% (nivel de confianza), p = 0,5 (proporción esperada), q = 1-p (probabilidad de fracaso), d = 6% (error aceptado).
 
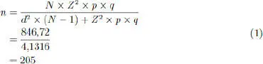
N = 882 (población total), Z = 95% (nivel de confianza), p = 0,5 (proporción esperada), q = 1-p (probabilidad de fracaso), d = 13,47% (error aceptado).
Muestreo: aleatorio estratificado proporcional ( nh = (Nh÷N)×n ).
Estrato I → nh = 13 estudiantes (Proyectos 1 y 2).
Estrato II → n h= 10 estudiantes (Proyectos 3 y 4).
Estrato III → n h= 10 estudiantes (estudiantes en los semestres V y VI, en cualquiera de los Proyectos activos).
Estrato IV → n h= 10 estudiantes (estudiantes en los semestres VII y VIII, en cualquiera de los Proyectos activos).
Estrato V → n h= 9 estudiantes (estudiantes en Trabajo de Grado).
Método de recolección: observación participante, entrevistas abiertas a profundidad, encuestas y tests de personalidad y creatividad.
Análisis y codificación de datos
Minería de datos y teoría fundamentada
 
La minería de datos es el proceso de extracción de patrones de un conjunto de datos, es decir, “el proceso de extraer información previamente desconocida, válida y procesable de grandes bases de datos” ( Barclay, 2015, pág. 192) para su uso en la toma de decisiones. Sin embargo, la minería de datos es solo una etapa en el proceso de extracción de conocimiento a partir de datos, que consta de varios pasos y tiene muchos puntos de encuentro con la teoría fundamentada (que es el método principal). La teoría fundamentada fue propuesta a finales de los sesenta por Glaser y Strauss e “intenta desarrollar interpretaciones del mundo de los sujetos en función de sus propias interpretaciones, teniendo como objeto de investigación la acción humana” ( San Martín, 2014, pág. 107). Esta metodología supone un interés por entender los significados sociales que comparten un grupo y trata de explicarlos a la luz de las relaciones que hay entre los integrantes de dicho grupo y otros; es decir, fundamentalmente se ocupa de actores y relaciones ( Caballero, 1991).
Por su parte, tanto el proceso de extracción de conocimiento a partir de datos como la teoría fundamentada tienen una relación muy cercana con los datos (en el primero, como algo que debe ser minado en búsqueda de asociaciones, y en la segunda como la base para desarrollar teorías). Lo cierto es que ambas aproximaciones se adhieren al principio de análisis de datos como actividad central del desarrollo teórico y permiten que el investigador les dé sentido a grandes cantidades de datos sin usar estrategias preconcebidas para la clasificación y descomposición ( Bryant, 2017), razón por la cual fueron escogidas como métodos para este estudio. Ahora, en términos generales, los pasos para el desarrollo de una teoría fundamentada son tres, y los pasos de análisis, codificación y emergencia teórica se triangularán con la minería de datos a modo de comprobación para verificar que se están obteniendo los mismos resultados.
La recolección de datos de un grupo-muestra que pueda evidenciar el fenómeno investigado (método de recolección: estudio de caso)
Una vez recogidos los datos, se desarrolla un análisis sistemático de estos a través de una codificación que pretende conceptualizar los significados contenidos en los datos mediante la codificación abierta, la axial y —posteriormente— la codificación selectiva, cuyo nivel de abstracción permite la aparición de un núcleo teórico. Paralelamente, se empieza la minería de datos en la búsqueda de patrones y evaluación de resultados. Finalmente se espera la emergencia de la teoría a partir de la saturación teórica. Es decir, una vez los datos dejan de mostrar nuevas relaciones o empiezan a tornarse repetitivos. Junto con la emergencia teórica se evalúan los patrones e interpretaciones, lo que resulta en la aparición de nuevo conocimiento.
En el caso de la teoría fundamentada, San Martín (2014) recomienda para la codificación de datos el uso de un caqdas ( Computer Assisted Qualitative Data Software ), particularmente Aquad, NVivo, Hipersearch o Atlas.ti, y argumenta ventajas en términos de tiempo, búsqueda, exposición de datos e inclusividad, pues estos admiten la incorporación de datos obtenidos desde diferentes fuentes (entrevistas, notas, encuestas, libros, etc.).
Estos programas, particularmente Atlas.ti y N-Vivo , se caracterizan por sus posibilidades gráficas y esquemas relacionales, que permiten el trabajo con los conceptos y sus relaciones, lo que da estructura a la teoría. Sin embargo, el autor reconoce inconvenientes en el uso de un solo software por el sesgo que puede llegar a producir sobre los resultados, y sugiere, entonces, comparar varios programas. Es por ello, tal y como propone el análisis, que en esta investigación se triangulará dicho proceso no solo al utilizar una metodología mixta, sino que además será desarrollada con un software diseñado para cada uno de los métodos: por un lado, NVivo, un software desarrollado por QSR que permite organizar y analizar datos, y, por otro, RapidMiner Studio, un programa que provee un ambiente para todos los pasos de la minería de datos, incluyendo su visualización, validación y optimización.
Como resultado directo, se espera consolidar una exploración que dé cuenta de la operación de los procesos creativos, tal y como fue consignado en los objetivos de la investigación. No obstante, posteriormente se hará uso de dicha exploración para mapear la creatividad en la práctica académica del proyecto arquitectónico. Por otro lado, se espera reconocer vacíos en tal práctica que permitan proponer estrategias didácticas para potenciar dichos procesos.
Barclay, C. (2015). Knowledge Discovery Process and Methods to Enhance Organizational Performance. En: C. Barclay & K. Osei-Bryson, Data Mining for Organizations (pp. 189-214). New York: CRC Press.
Bryant, A. (2017). Grounded Theory and Grounded Theorizing: Pragmatism in Research Practice . Oxford: Oxford University Press.
Caballero, J. J. (1991). Etnometodología: una explicación de la construcción social de la realidad. Revista española de investigaciones sociológicas , (56), pp. 83-114.
Candy, L. & Edmonds, E. (1996). Creative design of the Lotus bicycle. Design Studies , 17 (1), pp. 71-90.
Casakin, H. & Kreitler, S. (2005). The nature of creativity in design. En: J. Geros & N. Bonnardel, Studying designers (pp. 87-100). Sidney: University of Sidney.
Csikszentmihalyi, M. (2006). A Systems Perspective on Creativity. En: J. Henry, Creative management and development (pp. 3-17). London: Sage Publishing.
Hernández, R.; Fernández, C. & Baptista, P. (2006). Metodología de la investigación . México: McGraw-Hill.
Kaufman, J. & Sternberg, R. (2010). The Cambridge Handbook of Creativity . New York: Cambridge Universtiy Press.
Kozbelt, A.; Beghetto, R. A. & Runco, M. (2010). Theories of Creativity. En: J. Kaufman & R. Sternberg, The Cambridge Handbook of Creativity (pp. 20-47). New York: Cambridge University Press.
Marrelli, A. (2007). Collecting data through case studies. Performance Improvement, 46 (7), pp. 39-44.
Читать дальше