Neil McCartney - Properties for Design of Composite Structures

Здесь есть возможность читать онлайн «Neil McCartney - Properties for Design of Composite Structures» — ознакомительный отрывок электронной книги совершенно бесплатно, а после прочтения отрывка купить полную версию. В некоторых случаях можно слушать аудио, скачать через торрент в формате fb2 и присутствует краткое содержание. Жанр: unrecognised, на английском языке. Описание произведения, (предисловие) а так же отзывы посетителей доступны на портале библиотеки ЛибКат.

Properties for Design of Composite Structures: краткое содержание, описание и аннотация

Предлагаем к чтению аннотацию, описание, краткое содержание или предисловие (зависит от того, что написал сам автор книги «Properties for Design of Composite Structures»). Если вы не нашли необходимую информацию о книге — напишите в комментариях, мы постараемся отыскать её.

PROPERTIES FOR DESIGN OF COMPOSITE STRUCTURES
A comprehensive guide to analytical methods and source code to predict the behavior of undamaged and damaged composite materials Properties for Design of Composite Structures: Theory and Implementation Using Software
Properties for Design of Composite Structures: Theory and Implementation Using Software

Properties for Design of Composite Structures — читать онлайн ознакомительный отрывок

Ниже представлен текст книги, разбитый по страницам. Система сохранения места последней прочитанной страницы, позволяет с удобством читать онлайн бесплатно книгу «Properties for Design of Composite Structures», без необходимости каждый раз заново искать на чём Вы остановились. Поставьте закладку, и сможете в любой момент перейти на страницу, на которой закончили чтение.

Тёмная тема
Сбросить

Интервал:

Закладка:

Сделать

A right-handed second set of local coordinates x′1,x′2andx′3 is obtained by rotating the reference set of coordinates about the x 3-axis by an angle ϕ as shown in Figure 2.1. The rotation is clockwise when viewing along the positive direction of the x 3-axis. The unit vectors in the directions of the x′1,x′2andx′3 axes are denoted by i′1,i′2andi′3, respectively. Rotating about the x 3-axis enables account to be taken of the effects of off-axis plies in laminates, as considered in Chapters 6and 7.

Figure 21 Transformation of righthanded Cartesian coordinates Any point in - фото 172

Figure 2.1 Transformation of right-handed Cartesian coordinates.

Any point in space can be represented by the vector x(a first-order tensor) the value of which is wholly independent of the coordinate system that is used to describe its components so that

2171 It then follows on resolving vectors that 2172 Transformation of a - фото 173(2.171)

It then follows on resolving vectors that

2172 Transformation of a set of Cartesian coordinates x1x2x3 to - фото 174(2.172)

Transformation of a set of Cartesian coordinates (x1,x2,x3) to (x′1,x′2,x′3) by a rotation of the x 1- and x 2-axes about the x 3-axis through an angle ϕ (as shown in Figure 2.1) leads to

2173 These relationships can be established from the geometry shown in - фото 175(2.173)

These relationships can be established from the geometry shown in Figure 2.1 on making use of the various constructions shown as dotted lines.

The displacement vector uis a physical quantity that is wholly independent of the coordinate system that is used to describe its components. This vector may be written as (where summation over values 1, 2 and 3 is implied by repeated lowercase suffices)

Properties for Design of Composite Structures - изображение 176(2.174)

where uk and u′k are the displacement components referred to the two coordinate systems being considered. It follows on using ( 2.172) that

2175 The stress and strain at any point in a material is a dyadic an array - фото 177(2.175)

The stress and strain at any point in a material is a dyadic (an array of ordered vector pairs) or second-order tensor whose value is wholly independent of the coordinate system that is used to describe its components. The second-order stress tensor σ may, therefore, be written as (where summation over values 1, 2 and 3 is implied by repeated lower case suffices)

Properties for Design of Composite Structures - изображение 178(2.176)

where σkl and σ′kl are the stress components referred to the two coordinate systems being considered. On defining m = cos ϕ and n = sin ϕ , it follows from ( 2.172) that

2177 Thus from 2176 and 2177 because σ12σ21 σ13σ31 and - фото 179(2.177)

Thus, from ( 2.176) and ( 2.177), because σ′12=σ′21, σ′13=σ′31 and σ′23=σ′32

2178 The inverse relationships are obtained by replacing ϕ by ϕ ie n is - фото 180(2.178)

The inverse relationships are obtained by replacing ϕ by −ϕ (i.e. n is replaced by – n ) so that

2179 The relationships 2178 and 2179 are the standard - фото 181(2.179)

The relationships ( 2.178) and ( 2.179) are the standard transformations, arising from tensor theory, for the rotation of stress components about one axis of a right-handed rectangular set of Cartesian coordinates. Identical transformations apply when considering the strain tensor so that

2180 with inverse relations 2181 217 Transformations of Elastic - фото 182(2.180)

with inverse relations

2181 217 Transformations of Elastic Constants On substituting the - фото 183(2.181)

2.17 Transformations of Elastic Constants

On substituting the stress-strain relations ( 2.170) into ( 2.181)

2182 Substitution of 2178 into 2182 leads to the relations 2183 - фото 184(2.182)

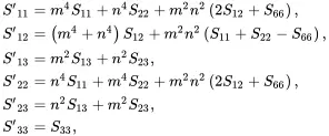
Substitution of ( 2.178) into ( 2.182) leads to the relations

2183 where 2184 2185 - фото 185(2.183)

where

2184 2185 2186 and where - фото 186(2.184)

2185 2186 and where 2187 - фото 187(2.185)

2186 and where 2187 2171 Transverse Isotropic and Isotropic Solids - фото 188(2.186)

and where

2187 2171 Transverse Isotropic and Isotropic Solids When considering - фото 189(2.187)

2.17.1 Transverse Isotropic and Isotropic Solids

When considering unidirectionally reinforced fibre composites, as will be the case in Chapter 4, the effective composite properties are often assumed to be isotropic in the plane that is normal to the fibre direction taken here to be the x 3-direction as coordinate rotations considered previously have been about the x 3-axis. It is now assumed that S11=S22, S44=S55 and S13=S23. As m2 + n2 = 1 and

it then follows from 2184 2186 that 2188 It should be noted that - фото 190

it then follows from ( 2.184)–( 2.186) that

Properties for Design of Composite Structures - изображение 191(2.188)

It should be noted that the factor S66−2S11+2S12 appears repeatedly in these relations. When this factor is zero so that

Properties for Design of Composite Structures - изображение 192(2.189)

Читать дальше
Тёмная тема
Сбросить

Интервал:

Закладка:

Сделать

Похожие книги на «Properties for Design of Composite Structures»

Представляем Вашему вниманию похожие книги на «Properties for Design of Composite Structures» списком для выбора. Мы отобрали схожую по названию и смыслу литературу в надежде предоставить читателям больше вариантов отыскать новые, интересные, ещё непрочитанные произведения.


Отзывы о книге «Properties for Design of Composite Structures»

Обсуждение, отзывы о книге «Properties for Design of Composite Structures» и просто собственные мнения читателей. Оставьте ваши комментарии, напишите, что Вы думаете о произведении, его смысле или главных героях. Укажите что конкретно понравилось, а что нет, и почему Вы так считаете.

x