Neil McCartney - Properties for Design of Composite Structures

Здесь есть возможность читать онлайн «Neil McCartney - Properties for Design of Composite Structures» — ознакомительный отрывок электронной книги совершенно бесплатно, а после прочтения отрывка купить полную версию. В некоторых случаях можно слушать аудио, скачать через торрент в формате fb2 и присутствует краткое содержание. Жанр: unrecognised, на английском языке. Описание произведения, (предисловие) а так же отзывы посетителей доступны на портале библиотеки ЛибКат.

Properties for Design of Composite Structures: краткое содержание, описание и аннотация

Предлагаем к чтению аннотацию, описание, краткое содержание или предисловие (зависит от того, что написал сам автор книги «Properties for Design of Composite Structures»). Если вы не нашли необходимую информацию о книге — напишите в комментариях, мы постараемся отыскать её.

PROPERTIES FOR DESIGN OF COMPOSITE STRUCTURES
A comprehensive guide to analytical methods and source code to predict the behavior of undamaged and damaged composite materials Properties for Design of Composite Structures: Theory and Implementation Using Software
Properties for Design of Composite Structures: Theory and Implementation Using Software

Properties for Design of Composite Structures — читать онлайн ознакомительный отрывок

Ниже представлен текст книги, разбитый по страницам. Система сохранения места последней прочитанной страницы, позволяет с удобством читать онлайн бесплатно книгу «Properties for Design of Composite Structures», без необходимости каждый раз заново искать на чём Вы остановились. Поставьте закладку, и сможете в любой момент перейти на страницу, на которой закончили чтение.

Тёмная тема
Сбросить

Интервал:

Закладка:

Сделать

it follows that

2190 As it was assumed that S11S22S44S55S13S23 it is clear that any - фото 193(2.190)

As it was assumed that S11=S22,​​S44=S55,S13=S23, it is clear that any rotation about the x 3-axis does not alter the value of the elastic constants on transformation. Thus, the material having the stress-strain relations ( 2.170) are transverse isotropic relative to the x 3-axis if the elastic constants are such that

2191 For isotropic materials the elastic constants must satisfy the - фото 194(2.191)

For isotropic materials, the elastic constants must satisfy the relations

2192 For a transverse isotropic solid the thermal expansion coefficients are - фото 195(2.192)

For a transverse isotropic solid the thermal expansion coefficients are such that V1=V2=V* and V3=V. It then follows from ( 2.187) that

2193 For isotropic materials 2194 2172 Introducing Familiar - фото 196(2.193)

For isotropic materials

2194 2172 Introducing Familiar Thermoelastic Constants It is useful to - фото 197(2.194)

2.17.2 Introducing Familiar Thermoelastic Constants

It is useful to express the elastic constants SIJ in terms of more familiar physical quantities such as the elastic constants, for linear elastic media, known as Young’s moduli, shear moduli and Poisson’s ratios. Consider a thin rectangular plate made of an orthotropic fibre reinforced material where the in-plane directions x1 and x2 are parallel to the edges of the plate and where the through-thickness direction is parallel to the x 3-axis. The straight fibres in the plate are all parallel to the x 1-axis. For this situation, the elastic constants SIJ in ( 2.170) are written in the form

2195 where Youngs moduli are denoted by E shear moduli by μ Poissons - фото 198(2.195)

where Young’s moduli are denoted by E , shear moduli by μ, Poisson’s ratios by ν and thermal expansion coefficients by α. The stress-strain relations ( 2.170) may then be written as

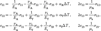
2196 The subscripts A and T refer to axial and transverse thermoelastic - фото 199(2.196)

The subscripts ‘A’ and ‘T’ refer to axial and transverse thermoelastic constants, respectively, involving in-plane stresses and deformations. The subscripts ‘a’ and ‘t’ refer to axial and transverse constants, respectively, associated with out-of-plane stresses and deformations. The parameter ΔT is the difference between the current temperature of the material and the reference temperature for which all strains are zero when the sample is unloaded.

It is clear that when the plate is uniaxially loaded in the x 1-direction, the parameter νA is the Poisson’s ratio determining the in-plane transverse deformation in the x 2-direction whereas νa is Poisson’s ratio determining the transverse through-thickness deformation in the x 3-direction. When the plate is uniaxially loaded in the x 2-direction, the parameter νt is the Poisson’s ratio determining the transverse through-thickness deformation in the x 3-direction.

It is useful, first, to show the form of the stress-strain equations ( 2.196) when the material is transverse isotropic about the x 3-axis, so that they may be used when considering the properties of unidirectional plies in a laminate where the fibres are aligned in the x 3-direction of the ply, and so that use can be made of analysis given in the previous section. It follows from ( 2.196) that when the material is transverse isotropic about the x 3-axis, the stress-strain relations are of the form

Properties for Design of Composite Structures - изображение 200(2.197)

As S11=1/υT, S12=−νt/υT and S66=1/μt it follows from ( 2.189) that for a transverse isotropic solid the following condition must be satisfied:

Properties for Design of Composite Structures - изображение 201(2.198)

In Chapter 4considering fibre-reinforced materials, stress-strain relations are required for the cylindrical polar coordinates (r,θ,z) corresponding to the relations ( 2.197), which are given by

2199 When the fibres are aligned in a direction parallel to the x 1axis as - фото 202(2.199)

When the fibres are aligned in a direction parallel to the x 1-axis, as required in Chapters 6and 7 concerning laminates and their plies, the transverse isotropic stress-strain relations, resulting from the orthotropic form ( 2.196), are given by

2200 where again the relation 2198 must be satisfied For plane strain - фото 203(2.200)

where, again, the relation ( 2.198) must be satisfied.

For plane strain conditions such that ε11≡0, it follows from ( 2.200) that

2201 When ΔT0 the term ε22ε33 is the change in volume per unit volume - фото 204(2.201)

When ΔT=0, the term ε22+ε33 is the change in volume per unit volume ΔV/V for the plane strain conditions under discussion when an equiaxial transverse stress σ is applied such that σ2=σ3=σ. It then follows that a plane strain bulk modulus kT can be defined by

Properties for Design of Composite Structures - изображение 205(2.202)

such that σ=kTΔV/V when ΔT=0.

For isotropic materials, EA=ET=E, νA=νt=ν and μA=μt=μ so that

2203 and so that 2198 has the following form 2204 It is clear that - фото 206(2.203)

and so that ( 2.198) has the following form

картинка 207(2.204)

It is clear that the elastic constants of an isotropic material are fully characterised by just two independent elastic constants, such as one of the following combinations: (E,ν), (μ,ν) and (E,μ). One of Lamé’s constants λ (the other is the shear modulus μ) and the bulk modulus k are often used as elastic constants for isotropic materials. These are related to Young’s modulus E , the shear modulus μ and Poisson’s ratio ν as follows (see ( 2.161)):

2205 The inverse form is 2206 It is sometimes convenient to characterise - фото 208(2.205)

Читать дальше
Тёмная тема
Сбросить

Интервал:

Закладка:

Сделать

Похожие книги на «Properties for Design of Composite Structures»

Представляем Вашему вниманию похожие книги на «Properties for Design of Composite Structures» списком для выбора. Мы отобрали схожую по названию и смыслу литературу в надежде предоставить читателям больше вариантов отыскать новые, интересные, ещё непрочитанные произведения.


Отзывы о книге «Properties for Design of Composite Structures»

Обсуждение, отзывы о книге «Properties for Design of Composite Structures» и просто собственные мнения читателей. Оставьте ваши комментарии, напишите, что Вы думаете о произведении, его смысле или главных героях. Укажите что конкретно понравилось, а что нет, и почему Вы так считаете.

x