Альберт Рывкин - Сборник задач по математике с решениями для поступающих в вузы

Здесь есть возможность читать онлайн «Альберт Рывкин - Сборник задач по математике с решениями для поступающих в вузы» — ознакомительный отрывок электронной книги совершенно бесплатно, а после прочтения отрывка купить полную версию. В некоторых случаях можно слушать аудио, скачать через торрент в формате fb2 и присутствует краткое содержание. Город: Москва, Год выпуска: 2003, ISBN: 2003, Издательство: «ОНИКС 21 век» «Мир и Образование», Жанр: Математика, на русском языке. Описание произведения, (предисловие) а так же отзывы посетителей доступны на портале библиотеки ЛибКат.

Сборник задач по математике с решениями для поступающих в вузы: краткое содержание, описание и аннотация

Предлагаем к чтению аннотацию, описание, краткое содержание или предисловие (зависит от того, что написал сам автор книги «Сборник задач по математике с решениями для поступающих в вузы»). Если вы не нашли необходимую информацию о книге — напишите в комментариях, мы постараемся отыскать её.

Основу задачника составили варианты письменных работ по математике, предлагавшихся на вступительных экзаменах в ряде ведущих вузов Москвы.
Сборник содержит около 500 типовых задач. K каждой задаче дается до трех указаний, помогающих найти правильный путь к решению, а затем приводится подробное решение.
Пособие может использоваться при самостоятельной подготовке к экзаменам в вуз, а также на подготовительных отделениях и курсах.

Сборник задач по математике с решениями для поступающих в вузы — читать онлайн ознакомительный отрывок

Ниже представлен текст книги, разбитый по страницам. Система сохранения места последней прочитанной страницы, позволяет с удобством читать онлайн бесплатно книгу «Сборник задач по математике с решениями для поступающих в вузы», без необходимости каждый раз заново искать на чём Вы остановились. Поставьте закладку, и сможете в любой момент перейти на страницу, на которой закончили чтение.

Тёмная тема
Сбросить

Интервал:

Закладка:

Сделать

Число Сборник задач по математике с решениями для поступающих в вузы - изображение 290всевозможных различных размещений с повторениями из n различных элементов по k элементов в каждом находится по формуле

Сборник задач по математике с решениями для поступающих в вузы - изображение 291

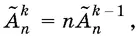
Доказывается эта формула с помощью рекуррентного соотношения

Сборник задач по математике с решениями для поступающих в вузы - изображение 292

которое устанавливается следующим рассуждением. Если первая буква в слове из k букв фиксирована, то в оставшиеся k − 1 ячеек можно разметить буквы картинка 293способами. Для каждого из этих способов остается n возможностей для выбора буквы, стоящей на первом месте. В результате мы получим все размещения с повторениями из n по k .

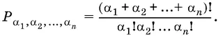
Размещения с повторениями, образованные из n элементов a 1, a 2, ..., а n так, что каждый из этих элементов входит в размещение по крайней мере один раз, называются перестановками с повторениями. Если известно, что элемент a 1входит α 1раз, элемент a 2входит α 2раз, ..., элемент a n входит α n раз, то число всевозможных таких перестановок обозначают Сборник задач по математике с решениями для поступающих в вузы - изображение 294 и оно может быть найдено по формуле

Два сочетания с повторениями из n элементов по k в каждом считаются различными - фото 295

Два сочетания с повторениями из n элементов по k в каждом считаются различными тогда и только тогда, когда они отличаются по крайней мере одним элементом или какой-нибудь элемент входит в эти соединения различное число раз. Число всевозможных сочетаний с повторениями определяется по формуле

Сборник задач по математике с решениями для поступающих в вузы - изображение 296

вывод которой состоит в доказательстве того факта, что допущение о возможности повторений элементов равносильно увеличению числа элементов, из которых образуются сочетания, на k − 1.

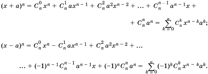
Для любого натурального n справедливы разложения

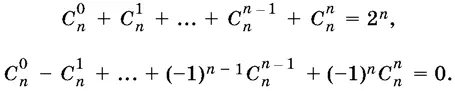
Для биномиальных коэффициентов справедливы равенства 211Сколькими - фото 297

Для биномиальных коэффициентов справедливы равенства:

211Сколькими различными способами можно усадить за круглый стол n человек - фото 298

21.1.Сколькими различными способами можно усадить за круглый стол n человек, если два способа считаются одинаковыми, когда каждый человек имеет тех же соседей (левый и правый соседи не различаются).

21.2.Имеется одна перестановка из пяти элементов: а 1, а 2, а 3, а 4, а 5. Найдите число всех перестановок из этих элементов, в каждой из которых на первом месте стоит элемент, отличный от а 1, а на втором — элемент, отличный от а 2.

21.3.Сколько можно образовать семизначных чисел из цифр 1, 2, 3, ..., 8 с тем, чтобы цифра 2 входила в каждое число не меньше, чем три раза?

21.4.Сколько восьмизначных чисел можно образовать из цифр 0, 1, 2, 3, 4, 5, если в каждом числе цифра 1 содержится три раза, а остальные цифры по одному разу?

21.5.Экскурсанты заказали на пароходе 8 четырехместных кают. Все места в каждой из кают и все каюты равноценны. Сколькими способами могут экскурсанты разместиться в каютах, если их 32 человека?

21.6.Вычислите сумму

217Найдите все значения n при которых какиелибо три последовательных - фото 299

21.7.Найдите все значения n , при которых какие-либо три последовательных коэффициента разложения бинома ( x + а ) n являются тремя последовательными членами арифметической прогрессии.

21.8.Найдите число неподобных между собой членов разложения

(а + b + с + d ) n .

21.9.Найдите коэффициент при х k в разложении

(1 + x + x ² + ... + х n − 1)².

21.10.Для бинома ( 1/ 5 x + 2/ 5) n найдите натуральный показатель n , если известно, что десятый член разложения этого бинома имеет наибольший коэффициент.

21.11.Определите число отличных от нуля коэффициентов в разложении

Читать дальше
Тёмная тема
Сбросить

Интервал:

Закладка:

Сделать

Похожие книги на «Сборник задач по математике с решениями для поступающих в вузы»

Представляем Вашему вниманию похожие книги на «Сборник задач по математике с решениями для поступающих в вузы» списком для выбора. Мы отобрали схожую по названию и смыслу литературу в надежде предоставить читателям больше вариантов отыскать новые, интересные, ещё непрочитанные произведения.


Отзывы о книге «Сборник задач по математике с решениями для поступающих в вузы»

Обсуждение, отзывы о книге «Сборник задач по математике с решениями для поступающих в вузы» и просто собственные мнения читателей. Оставьте ваши комментарии, напишите, что Вы думаете о произведении, его смысле или главных героях. Укажите что конкретно понравилось, а что нет, и почему Вы так считаете.

x