Альберт Рывкин - Сборник задач по математике с решениями для поступающих в вузы

Здесь есть возможность читать онлайн «Альберт Рывкин - Сборник задач по математике с решениями для поступающих в вузы» — ознакомительный отрывок электронной книги совершенно бесплатно, а после прочтения отрывка купить полную версию. В некоторых случаях можно слушать аудио, скачать через торрент в формате fb2 и присутствует краткое содержание. Город: Москва, Год выпуска: 2003, ISBN: 2003, Издательство: «ОНИКС 21 век» «Мир и Образование», Жанр: Математика, на русском языке. Описание произведения, (предисловие) а так же отзывы посетителей доступны на портале библиотеки ЛибКат.

Сборник задач по математике с решениями для поступающих в вузы: краткое содержание, описание и аннотация

Предлагаем к чтению аннотацию, описание, краткое содержание или предисловие (зависит от того, что написал сам автор книги «Сборник задач по математике с решениями для поступающих в вузы»). Если вы не нашли необходимую информацию о книге — напишите в комментариях, мы постараемся отыскать её.

Основу задачника составили варианты письменных работ по математике, предлагавшихся на вступительных экзаменах в ряде ведущих вузов Москвы.
Сборник содержит около 500 типовых задач. K каждой задаче дается до трех указаний, помогающих найти правильный путь к решению, а затем приводится подробное решение.
Пособие может использоваться при самостоятельной подготовке к экзаменам в вуз, а также на подготовительных отделениях и курсах.

Сборник задач по математике с решениями для поступающих в вузы — читать онлайн ознакомительный отрывок

Ниже представлен текст книги, разбитый по страницам. Система сохранения места последней прочитанной страницы, позволяет с удобством читать онлайн бесплатно книгу «Сборник задач по математике с решениями для поступающих в вузы», без необходимости каждый раз заново искать на чём Вы остановились. Поставьте закладку, и сможете в любой момент перейти на страницу, на которой закончили чтение.

Тёмная тема
Сбросить

Интервал:

Закладка:

Сделать

23.4.Найдите область определения функции

arccos ( x ² − 3 х + 1) + tg 2 х .

23.5.Где расположены точки плоскости, для координат которых выражение

принимает действительные значения 236Докажите что функция у cos x ² не - фото 307

принимает действительные значения ?

23.6.Докажите, что функция у = cos x ² не является периодической.

23.7.Докажите, что если функция

f ( x ) = sin x + cos аx

периодическая, то а — рациональное число.

23.8.Найдите основной период функции

у = cos 3 x / 2− sin x / 3.

Глава 24

Наибольшие и наименьшие значения

24.1. Найдите все значения x, при которых функция

sin x − cos² x − 1

принимает наименьшее значение.

24.2. Найдите наибольшее значение функции

у = sin 2 х sin (2 х − π/ 6).

При каких значениях x оно достигается?

24.3. Найдите наибольшее значение функции

у = sin x cos² x − sin³ x cos x .

24.4. При каких значениях x и у выражение

2 х ² + 2 ху + у ² − 2 х + 2 у + 2

имеет наименьшее значение. Найдите это наименьшее значение.

24.5. Найдите наименьшее значение выражения

у = | х ² − 1| + | х ² − 4| + | x + 2| + | x + 1|.

24.6. Найдите наименьшее значение функции

у = х 7+ a / 7 x , где x > 0, а > 0.

24.7. В круг радиусом R вписывается данный угол α. Какими должны быть длины хорд, образующих этот угол, чтобы их сумма была наибольшей?

24.8.В основании прямой призмы лежит прямоугольный треугольник с площадью, равной 2 м², а высота призмы равна гипотенузе основания. Какими должны быть стороны основания, чтобы боковая поверхность призмы была наименьшей?

24.9.Найдите сторону наибольшего из квадратов, внутренние точки которых находятся внутри правильного шестиугольника со стороной а .

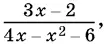
24.10.Найдите наибольшее значение дроби Сборник задач по математике с решениями для поступающих в вузы - изображение 308 если x может принимать любые действительные значения.

24.11.Контейнер для приборов должен быть сконструирован в форме прямоугольного параллелепипеда объемом 7,2 м³, причем площадь полной поверхности контейнера не должна превышать 24 м² при условии, что периметр основания не станет менее 10 м. Найдите размеры такого контейнера.

24.12.Найдите наименьшее значение функции

у = ctg² (α − x ) + ctg² (α + x ), 0 < α < π/ 2.

24.13.Найдите наибольшее и наименьшее значения функции

arcsin³ x + arccos³ x .

24.14.Найдите наименьшее значение функции

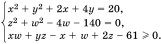
у = 2 sin² x − 3 sin 2 x + 10 cos² x .

24.15.Найдите наименьшее значение суммы у + w , если x , у , z , w удовлетворяют системе

Указания Первые указания K главе 1 11Если через точку D 1касания - фото 309

Указания

Первые указания

K главе 1

1.1.Если через точку D 1касания окружностей провести их общую касательную, то, пересекая продолжения сторон ВАВС 1, она образует треугольник А 1 ВС 1(рис. I.1.1). Воспользуйтесь тем, что OD = DD 1= R / 2, а O 1 D 1= BD 1 / 3.

12В треугольнике АОВ O центр вписанной окружности рис I12 угол ВАО - фото 310

1.2.В треугольнике АОВ ( O — центр вписанной окружности, рис. I.1.2) угол ВАО равен α/ 2, а угол ВОА равен сумме углов OAD и ODA , т. е. равен π/ 2 + α/ 2. По условию BO = m , так как BD = r + m . Поэтому решение удобно начать с определения AB из треугольника BOA .

13Вначале нужно выяснить смысл выражения окружность делит сторону - фото 311

1.3.Вначале нужно выяснить смысл выражения «окружность делит сторону треугольника пополам». Если окружность имеет со стороной треугольника две общие точки, то ни про одну мы не сможем сказать, что она делит отрезок пополам, поскольку отрезок разделится на три части.

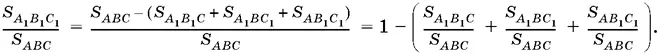
1.4.Отношение площади треугольника А 1 В 1 С 1к площади треугольника АВС (рис. I.1.4) можно записать так:

Теперь нужно найти каждое из отношений входящих в правую часть 15Углы - фото 312 Теперь нужно найти каждое из отношений входящих в правую часть 15Углы - фото 313

Теперь нужно найти каждое из отношений, входящих в правую часть.

Читать дальше
Тёмная тема
Сбросить

Интервал:

Закладка:

Сделать

Похожие книги на «Сборник задач по математике с решениями для поступающих в вузы»

Представляем Вашему вниманию похожие книги на «Сборник задач по математике с решениями для поступающих в вузы» списком для выбора. Мы отобрали схожую по названию и смыслу литературу в надежде предоставить читателям больше вариантов отыскать новые, интересные, ещё непрочитанные произведения.


Отзывы о книге «Сборник задач по математике с решениями для поступающих в вузы»

Обсуждение, отзывы о книге «Сборник задач по математике с решениями для поступающих в вузы» и просто собственные мнения читателей. Оставьте ваши комментарии, напишите, что Вы думаете о произведении, его смысле или главных героях. Укажите что конкретно понравилось, а что нет, и почему Вы так считаете.

x