Альберт Рывкин - Сборник задач по математике с решениями для поступающих в вузы

Здесь есть возможность читать онлайн «Альберт Рывкин - Сборник задач по математике с решениями для поступающих в вузы» — ознакомительный отрывок электронной книги совершенно бесплатно, а после прочтения отрывка купить полную версию. В некоторых случаях можно слушать аудио, скачать через торрент в формате fb2 и присутствует краткое содержание. Город: Москва, Год выпуска: 2003, ISBN: 2003, Издательство: «ОНИКС 21 век» «Мир и Образование», Жанр: Математика, на русском языке. Описание произведения, (предисловие) а так же отзывы посетителей доступны на портале библиотеки ЛибКат.

Сборник задач по математике с решениями для поступающих в вузы: краткое содержание, описание и аннотация

Предлагаем к чтению аннотацию, описание, краткое содержание или предисловие (зависит от того, что написал сам автор книги «Сборник задач по математике с решениями для поступающих в вузы»). Если вы не нашли необходимую информацию о книге — напишите в комментариях, мы постараемся отыскать её.

Основу задачника составили варианты письменных работ по математике, предлагавшихся на вступительных экзаменах в ряде ведущих вузов Москвы.
Сборник содержит около 500 типовых задач. K каждой задаче дается до трех указаний, помогающих найти правильный путь к решению, а затем приводится подробное решение.
Пособие может использоваться при самостоятельной подготовке к экзаменам в вуз, а также на подготовительных отделениях и курсах.

Сборник задач по математике с решениями для поступающих в вузы — читать онлайн ознакомительный отрывок

Ниже представлен текст книги, разбитый по страницам. Система сохранения места последней прочитанной страницы, позволяет с удобством читать онлайн бесплатно книгу «Сборник задач по математике с решениями для поступающих в вузы», без необходимости каждый раз заново искать на чём Вы остановились. Поставьте закладку, и сможете в любой момент перейти на страницу, на которой закончили чтение.

Тёмная тема
Сбросить

Интервал:

Закладка:

Сделать
201Докажите неравенство 202В арифметической прогрессии а 1 а 2 а n - фото 281

20.1.Докажите неравенство

202В арифметической прогрессии а 1 а 2 а n первый член равен разности - фото 282

20.2.В арифметической прогрессии а 1, а 2, ..., а n первый член равен разности прогрессии: а 1= d . Считая число n данным, найдите

203Найдите сумму 204Найдите зависимость между натуральными n и А если - фото 283

20.3.Найдите сумму

204Найдите зависимость между натуральными n и А если где а 0 1 1 - фото 284

20.4.Найдите зависимость между натуральными n и А , если

где а 0 1 1 205Найдите коэффициент при х n в разложении 1 x 2 х ² - фото 285

где а ≠ 0, 1, −1.

20.5.Найдите коэффициент при х n в разложении

(1 + x + 2 х ² + ... + пх n )².

20.6.Решите неравенство

| x − 2 х ² + 4 х ³ − 8 х 4+ ... + (−2) n − 1 х n + ...| < 1.

20.7.Найдите сумму

S n = 1 · 1! + 2 · 2! + 3 · 3! + ... + n · n !.

20.8.Найдите сумму

S n = x + 4 х ³ + 7 х 5+ 10 х 7+ ... + (3 n − 2) х 2 n − 1.

20.9.Найдите сумму

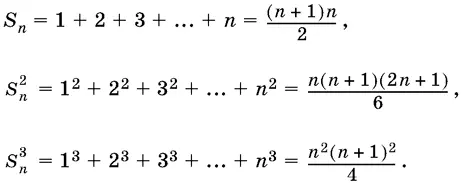
S n 4 = 1 4+ 2 4+ 3 4+ ... + n 4,

считая известными формулы для S n , S n ², S n ³ (см. с. 103).

20.10.Натуральные числа разбиты на группы

(1), (2, 4), (3, 5, 7), (6, 8, 10, 12), (9, 11, 13, 15, 17), ...

Найдите сумму чисел в n -й группе.

20.11.Вычислите выражение

2012Найдите сумму 1 2 2 3 2² 100 2 99 2013Найдите сумму - фото 286

20.12.Найдите сумму

1 + 2 · 2 + 3 · 2² + ... + 100 · 2 99.

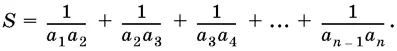
20.13.Найдите сумму ряда

Глава 21 Соединения и бином Эта глава содержит задачи по комбинаторике а - фото 287

Глава 21

Соединения и бином

Эта глава содержит задачи по комбинаторике, а также задачи, связанные с возведением в степень двучлена ax + b . Выражение ( ax + b ) называют биномом Ньютона и рассматривают, как правило, его разложение в ряд по степеням x и коэффициенты этого разложения — они зависят от а и b — при различных степенях x .

Комбинаторика изучает всевозможные комбинации из элементов данного конечного множества. Простейшие из таких комбинаций: перестановки, размещения и сочетания.

Перестановки состоят из одних и тех же элементов некоторого множества и отличаются одна от другой только порядком их расположения. Число всех возможных перестановок для множества, состоящего из n различных элементов, обозначают P ( n ):

P ( n ) = 1 · 2 · 3 · ... · n = n ! (1)

Символ n ! (читается «эн факториал») обозначает произведение первых n чисел натурального ряда: 1! = 1, 2! = 2, 3! = 6, 4! = 24, ... . По определению 0! = 1.

Следующий вид комбинаций — размещения из n различных элементов, образующих множество, в группы по k различных элементов в каждой. При этом два размещения считают разными, если они отличаются либо элементами, либо порядком их расположения. Подобные ситуации возникают при размещении постояльцев в гостинице, зрителей в театральном зале, пассажиров в поезде. Число всех возможных размещений по k различных элементов в каждом размещении, формируемых из n различных элементов данного множества, обозначают А n k . Имеет место формула:

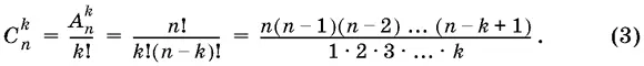
Сочетания из n элементов по k элементов комбинации составленные из данных n - фото 288

Сочетания из n элементов по k элементов — комбинации, составленные из данных n элементов и содержащие по k ( kn ) элементов в каждой, отличающиеся одна от другой хотя бы одним элементом. С — число сочетаний из n по k :

Наряду с соединениями в которые каждый из n различных элементов некоторого - фото 289

Наряду с соединениями, в которые каждый из n различных элементов некоторого фиксированного множества входит один раз, можно рассматривать соединения с повторениями, допускающие появление одного и того же элемента более одного раза.

Если задан алфавит из n различных букв и поставлена задача составить всевозможные слова по k букв в каждом, то речь идет о размещениях с повторениями. Обратите внимание на то обстоятельство, что слова могут быть любой длины, а потому нет необходимости в выполнении ограничения kn . Слова aba и baa считаются различными (входящие в них элементы образуют разные последовательности).

Читать дальше
Тёмная тема
Сбросить

Интервал:

Закладка:

Сделать

Похожие книги на «Сборник задач по математике с решениями для поступающих в вузы»

Представляем Вашему вниманию похожие книги на «Сборник задач по математике с решениями для поступающих в вузы» списком для выбора. Мы отобрали схожую по названию и смыслу литературу в надежде предоставить читателям больше вариантов отыскать новые, интересные, ещё непрочитанные произведения.


Отзывы о книге «Сборник задач по математике с решениями для поступающих в вузы»

Обсуждение, отзывы о книге «Сборник задач по математике с решениями для поступающих в вузы» и просто собственные мнения читателей. Оставьте ваши комментарии, напишите, что Вы думаете о произведении, его смысле или главных героях. Укажите что конкретно понравилось, а что нет, и почему Вы так считаете.

x