Альберт Рывкин - Сборник задач по математике с решениями для поступающих в вузы

Здесь есть возможность читать онлайн «Альберт Рывкин - Сборник задач по математике с решениями для поступающих в вузы» — ознакомительный отрывок электронной книги совершенно бесплатно, а после прочтения отрывка купить полную версию. В некоторых случаях можно слушать аудио, скачать через торрент в формате fb2 и присутствует краткое содержание. Город: Москва, Год выпуска: 2003, ISBN: 2003, Издательство: «ОНИКС 21 век» «Мир и Образование», Жанр: Математика, на русском языке. Описание произведения, (предисловие) а так же отзывы посетителей доступны на портале библиотеки ЛибКат.

Сборник задач по математике с решениями для поступающих в вузы: краткое содержание, описание и аннотация

Предлагаем к чтению аннотацию, описание, краткое содержание или предисловие (зависит от того, что написал сам автор книги «Сборник задач по математике с решениями для поступающих в вузы»). Если вы не нашли необходимую информацию о книге — напишите в комментариях, мы постараемся отыскать её.

Основу задачника составили варианты письменных работ по математике, предлагавшихся на вступительных экзаменах в ряде ведущих вузов Москвы.
Сборник содержит около 500 типовых задач. K каждой задаче дается до трех указаний, помогающих найти правильный путь к решению, а затем приводится подробное решение.
Пособие может использоваться при самостоятельной подготовке к экзаменам в вуз, а также на подготовительных отделениях и курсах.

Сборник задач по математике с решениями для поступающих в вузы — читать онлайн ознакомительный отрывок

Ниже представлен текст книги, разбитый по страницам. Система сохранения места последней прочитанной страницы, позволяет с удобством читать онлайн бесплатно книгу «Сборник задач по математике с решениями для поступающих в вузы», без необходимости каждый раз заново искать на чём Вы остановились. Поставьте закладку, и сможете в любой момент перейти на страницу, на которой закончили чтение.

Тёмная тема
Сбросить

Интервал:

Закладка:

Сделать

18.18.Завод должен получить 1100 деталей. На базе имеются комплекты по 70, 40 и 25 деталей. Стоимость пересылки одного комплекта равна соответственно 20, 10 и 7 p. Какие комплекты и в каком количестве следует заводу заказать, чтобы расходы по пересылке были наименьшими? Переупаковка комплектов на базе не допускается.

Глава 19

Последовательности и прогрессии

Рассмотрим функцию натурального аргумента а n = f ( n ), где либо n = 1, 2, 3, ..., k , либо n = 1, 2, 3, ..., k , ... . Если при любых натуральных i и j , таких, что i < j , значение а j считается последующим по отношению к а i , то множество значений а n этой функции образует последовательность .

Последовательность обозначают, записывая ее члены а n один за другим в порядке возрастания номера n : а 1, a 2, а 3, ... .

Если номер n принимает значения n = 1, 2, 3, ..., k , то последовательность называется конечной. Если же n = 1, 2, 3, ... (т. е. n пробегает все натуральные числа), то последовательность называется бесконечной.

а n = f ( n ) называется общим членом последовательности. Если для любых i и j , таких, что i < j , выполняется неравенство а i < а j , то последовательность называется возрастающей. Если при тех же условиях будет а i > а j , то последовательность называется убывающей. Если же при любых i и j , таких, что i < j , выполняется неравенство а iа j ( а iа j ), то последовательность называется неубывающей ( невозрастающей ).

Последовательность, в которой

а i + 1= а i + d

при всех натуральных i , называется арифметической прогрессией. Число d называется разностью арифметической прогрессии. Имеют место формулы:

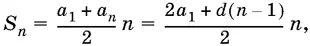
2 а n = а n + 1+ а n − 1; а n = а 1+ d ( n − 1);

где S n сумма n первых членов прогрессии Последовательность в которой a i - фото 272

где S n — сумма n первых членов прогрессии.

Последовательность, в которой

a i + 1= qa i

при всех натуральных i , причем q ≠ 0 и a i ≠ 0, называется геометрической прогрессией , а число q называется ее знаменателем .

Для геометрической прогрессии имеют место формулы:

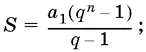
a n = a 1 q n − 1; Сборник задач по математике с решениями для поступающих в вузы - изображение 273 a ² n = a n − 1 a n + 1.

Вторая формула верна, если q ≠ 1. Бесконечная геометрическая прогрессия, у которой | q | < 1, называется бесконечно убывающей .

Бесконечно убывающая геометрическая прогрессия не обязательно является убывающей последовательностью. Она может быть возрастающей, например, при a 1= −1, q = ½ , а может быть колеблющейся: a 1= 1, q = −½ .

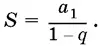
Если для бесконечной последовательности существует конечный предел последовательности ее сумм S n , т. е. существует Сборник задач по математике с решениями для поступающих в вузы - изображение 274, то S называется суммой всех членов этой бесконечной последовательности.

Для того чтобы бесконечная геометрическая прогрессия имела сумму всех своих членов, необходимо и достаточно, чтобы она была бесконечно убывающей. В этом случае

Сборник задач по математике с решениями для поступающих в вузы - изображение 275

19.1.Общий член последовательности Сборник задач по математике с решениями для поступающих в вузы - изображение 276 Является эта последовательность возрастающей или убывающей?

19.2.Докажите, что если члены a p, a q, a r, a s арифметической прогрессии образуют геометрическую прогрессию, то последовательность pq , qr , rs является геометрической прогрессией.

19.3.Докажите, что если положительные числа a , b , с — соответственно m -й, n -й и p -й члены как арифметической, так и геометрической прогрессии, то

a bсb сaс ab = 1.

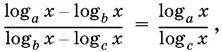
19.4.Докажите, что если а , b , с образуют геометрическую прогрессию, то

где x 0 x 1 а b с различные положительные числа отличные от - фото 277

где x > 0, x ≠ 1, а , b , с — различные положительные числа, отличные от единицы.

Читать дальше
Тёмная тема
Сбросить

Интервал:

Закладка:

Сделать

Похожие книги на «Сборник задач по математике с решениями для поступающих в вузы»

Представляем Вашему вниманию похожие книги на «Сборник задач по математике с решениями для поступающих в вузы» списком для выбора. Мы отобрали схожую по названию и смыслу литературу в надежде предоставить читателям больше вариантов отыскать новые, интересные, ещё непрочитанные произведения.


Отзывы о книге «Сборник задач по математике с решениями для поступающих в вузы»

Обсуждение, отзывы о книге «Сборник задач по математике с решениями для поступающих в вузы» и просто собственные мнения читателей. Оставьте ваши комментарии, напишите, что Вы думаете о произведении, его смысле или главных героях. Укажите что конкретно понравилось, а что нет, и почему Вы так считаете.

x