Альберт Рывкин - Сборник задач по математике с решениями для поступающих в вузы

Здесь есть возможность читать онлайн «Альберт Рывкин - Сборник задач по математике с решениями для поступающих в вузы» — ознакомительный отрывок электронной книги совершенно бесплатно, а после прочтения отрывка купить полную версию. В некоторых случаях можно слушать аудио, скачать через торрент в формате fb2 и присутствует краткое содержание. Город: Москва, Год выпуска: 2003, ISBN: 2003, Издательство: «ОНИКС 21 век» «Мир и Образование», Жанр: Математика, на русском языке. Описание произведения, (предисловие) а так же отзывы посетителей доступны на портале библиотеки ЛибКат.

Сборник задач по математике с решениями для поступающих в вузы: краткое содержание, описание и аннотация

Предлагаем к чтению аннотацию, описание, краткое содержание или предисловие (зависит от того, что написал сам автор книги «Сборник задач по математике с решениями для поступающих в вузы»). Если вы не нашли необходимую информацию о книге — напишите в комментариях, мы постараемся отыскать её.

Основу задачника составили варианты письменных работ по математике, предлагавшихся на вступительных экзаменах в ряде ведущих вузов Москвы.
Сборник содержит около 500 типовых задач. K каждой задаче дается до трех указаний, помогающих найти правильный путь к решению, а затем приводится подробное решение.
Пособие может использоваться при самостоятельной подготовке к экзаменам в вуз, а также на подготовительных отделениях и курсах.

Сборник задач по математике с решениями для поступающих в вузы — читать онлайн ознакомительный отрывок

Ниже представлен текст книги, разбитый по страницам. Система сохранения места последней прочитанной страницы, позволяет с удобством читать онлайн бесплатно книгу «Сборник задач по математике с решениями для поступающих в вузы», без необходимости каждый раз заново искать на чём Вы остановились. Поставьте закладку, и сможете в любой момент перейти на страницу, на которой закончили чтение.

Тёмная тема
Сбросить

Интервал:

Закладка:

Сделать

Пример 3.Из пункта С в пункт D выехал товарный поезд. Через 5 ч 5 мин навстречу ему из пункта D выехал пассажирский поезд. Они встретились в каком-то пункте А . После этого пассажирский поезд приехал в пункт С через 4 ч 6 мин, а товарный — в пункт D через 12 ч 55 мин. Сколько времени каждый поезд находился в пути?

Условия задачи можно отразить на схеме (рис. 18.1), где буквой В обозначено положение товарного поезда в момент выхода пассажирского из пункта D .

То обстоятельство что оба поезда находились в точке А одновременно мы отразим - фото 269

То обстоятельство, что оба поезда находились в точке А одновременно, мы отразим на схеме с помощью вертикального отрезка, связывающего оба пути. Схема подсказывает нам и выбор неизвестных. На путь от В до А товарный поезд потратил столько же времени, сколько пассажирский на путь от пункта D до А . Если обозначить это время через x, то на схеме не останется «белых пятен».

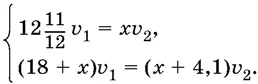
Пусть v 1— скорость товарного поезда, а v 2— скорость пассажирского поезда. Каждый из отрезков пути: от пункта С до А и от пункта D до А позволяет составить уравнения

12 11/ 12 v 1= хv 2, (5 1/ 12+ x ) v 1= 4 1/ 10 v 2.

Можно составить и уравнение для всего пути:

(5 1/ 12+ x + 12 11/ 12) v 1, = ( x + 4 1/ 10) v 2,

которое является следствием (точнее, суммой) первых двух уравнений. Однако это уравнение проще второго. Поэтому мы будем решать систему

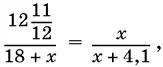
Разделив первое уравнение на второе получим откуда x 5 ч 10 мин второй - фото 270

Разделив первое уравнение на второе, получим

откуда x 5 ч 10 мин второй корень отрицательный и не имеет физического - фото 271

откуда x = 5 ч 10 мин (второй корень отрицательный и не имеет физического смысла). Итак, товарный поезд пройдет весь путь за 23 ч 10 мин, а пассажирский — за 9 ч 16 мин.

18.1.Бассейн наполняется четырьмя трубами за 4 ч. Первая, вторая и четвертая заполняют бассейн за 6 ч. Вторая, третья и четвертая — за 5 ч. За сколько времени заполняют бассейн первая и третья трубы?

18.2.У продавца испортились весы (плечи весов оказались неравными). Продавец отпустил покупателю два веса: первый раз на одну чашку весов положил килограммовую гирю, а на вторую — товар, во второй раз поменял гирю и товар местами. Компенсировал ли продавец неточность весов?

18.3.Школьник переклеивает свои марки в новый альбом. Если он наклеит по 20 марок на один лист, то ему не хватит альбома, если по 23 марки, то по крайней мере один лист останется пустым. Если школьнику подарить еще один такой же альбом, на каждом листе которого наклеено по 21 марке, то всего у него станет 500 марок. Сколько листов в альбоме?

18.4.Одному буксиру нужно перевезти за наименьшее время два понтона вниз по реке на l км. Было решено, что один понтон будет отправлен по течению реки самостоятельно, а другой будет некоторое время транспортироваться буксиром, после чего буксир оставит его и вернется за первым и отбуксирует его до конечного пункта. Сколько километров должен транспортироваться второй понтон, чтобы оба пришли к конечному пункту одновременно, и сколько потребуется времени на всю перевозку, если собственная скорость буксира v км/ч, а скорость течения реки u км/ч?

18.5.Некто родился в девятнадцатом веке (до 1900 года). В 1901 году сумма цифр числа, выражающего год его рождения, равнялась сумме цифр числа, выражающего количество прожитых лет. Определите, в каком году родился некто.

18.6.Цена бриллианта пропорциональна квадрату его массы. Бриллиант массой p карат был разбит на две части, после чего его стоимость уменьшилась в k раз. Найдите массы частей, на которые был разбит бриллиант [12] 1 карат = 0,2 г. .

18.7.Некоторую часть маршрута туристам предстоит совершить вверх по реке. В их распоряжении моторная лодка, способная развивать две скорости с разным расходом горючего. Если скорость течения реки окажется равной u км/ч, то при движении на любой из собственных скоростей будет затрачено одинаковое количество горючего. Если же скорость течения в k раз больше ( k > 1), то при движении с собственной скоростью v 1горючее будет израсходовано полностью, а при движении с собственной скоростью v 2останется A кг горючего. Какое количество горючего будет затрачено на весь путь?

Читать дальше
Тёмная тема
Сбросить

Интервал:

Закладка:

Сделать

Похожие книги на «Сборник задач по математике с решениями для поступающих в вузы»

Представляем Вашему вниманию похожие книги на «Сборник задач по математике с решениями для поступающих в вузы» списком для выбора. Мы отобрали схожую по названию и смыслу литературу в надежде предоставить читателям больше вариантов отыскать новые, интересные, ещё непрочитанные произведения.


Отзывы о книге «Сборник задач по математике с решениями для поступающих в вузы»

Обсуждение, отзывы о книге «Сборник задач по математике с решениями для поступающих в вузы» и просто собственные мнения читателей. Оставьте ваши комментарии, напишите, что Вы думаете о произведении, его смысле или главных героях. Укажите что конкретно понравилось, а что нет, и почему Вы так считаете.

x