Альберт Рывкин - Сборник задач по математике с решениями для поступающих в вузы

Здесь есть возможность читать онлайн «Альберт Рывкин - Сборник задач по математике с решениями для поступающих в вузы» — ознакомительный отрывок электронной книги совершенно бесплатно, а после прочтения отрывка купить полную версию. В некоторых случаях можно слушать аудио, скачать через торрент в формате fb2 и присутствует краткое содержание. Город: Москва, Год выпуска: 2003, ISBN: 2003, Издательство: «ОНИКС 21 век» «Мир и Образование», Жанр: Математика, на русском языке. Описание произведения, (предисловие) а так же отзывы посетителей доступны на портале библиотеки ЛибКат.

Сборник задач по математике с решениями для поступающих в вузы: краткое содержание, описание и аннотация

Предлагаем к чтению аннотацию, описание, краткое содержание или предисловие (зависит от того, что написал сам автор книги «Сборник задач по математике с решениями для поступающих в вузы»). Если вы не нашли необходимую информацию о книге — напишите в комментариях, мы постараемся отыскать её.

Основу задачника составили варианты письменных работ по математике, предлагавшихся на вступительных экзаменах в ряде ведущих вузов Москвы.
Сборник содержит около 500 типовых задач. K каждой задаче дается до трех указаний, помогающих найти правильный путь к решению, а затем приводится подробное решение.
Пособие может использоваться при самостоятельной подготовке к экзаменам в вуз, а также на подготовительных отделениях и курсах.

Сборник задач по математике с решениями для поступающих в вузы — читать онлайн ознакомительный отрывок

Ниже представлен текст книги, разбитый по страницам. Система сохранения места последней прочитанной страницы, позволяет с удобством читать онлайн бесплатно книгу «Сборник задач по математике с решениями для поступающих в вузы», без необходимости каждый раз заново искать на чём Вы остановились. Поставьте закладку, и сможете в любой момент перейти на страницу, на которой закончили чтение.

Тёмная тема
Сбросить

Интервал:

Закладка:

Сделать

15.6.sin |lg x | + cos |lg x | > − 1/ √2.

15.7. 158arctg x arccos 1 x 1594 х x ² 3 log 2cos² π х 1 - фото 255

15.8.arctg √ x > arccos (1 − x ).

15.9.(4 хx ² − 3) log 2(cos² π х + 1) ≥ 1.

15.10. Глава 16 Трансцендентные уравнения 161Докажите что уравнение 2 sin² x - фото 256

Глава 16

Трансцендентные уравнения

16.1.Докажите, что уравнение

2 sin² x / 2sin² x / 6= 1/ x ²+ x ²

не имеет корней.

Решите уравнения:

16.2. 163tg x sin x ctg x cos x 164sin 2 х 1 2 х 2 cos 2 х - фото 257

16.3.(tg x ) sin x = (ctg x ) cos x .

16.4.sin (2 х − 1+ 2 х − 2) cos (2 х − 1+ 2 х − 2) = ¼.

16.5.lg sin x + lg sin 5 х = lg sec 4 х .

16.6.lg² (sin x + 4) + 2 lg (sin x + 4) − 5/ 4= 0.

16.7.log sin x (sin x − ¼ cos x ) = 3.

16.8.log 8 cos² x sin x = ½.

16.9.Найдите положительные решения уравнения

tg [ 5π(½) x ] = 1.

16.10.Решите уравнение

lg² cos x + 2 lg cos x + m ² + 2 m − 3 = 0.

16.11.Для каждого действительного числа а решите уравнение

lg² sin x − 2 а lg sin xа ² + 2 = 0.

16.12.Решите систему уравнений

1613Решите уравнение 4 sin² π x 4 cos² π x 8 x ² 12 x ½ - фото 258

16.13.Решите уравнение

4 sin² π x + 4 cos² π x = −8 x ² + 12| x | − ½.

16.14.Решите уравнение

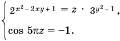
Глава 17 Функции и их свойства 171Решите неравенство 4 f x g x - фото 259

Глава 17

Функции и их свойства

17.1.Решите неравенство

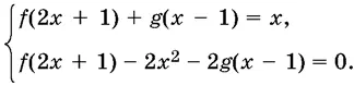
4 f ( x ) + g ( x ) ≤ 0,

если функции f ( x ) и g ( x ) удовлетворяют системе

172Сколько различных действительных корней имеет уравнение f f x 0 - фото 260

17.2.Сколько различных действительных корней имеет уравнение f ( f ( x )) = 0, где f ( x ) = x ³ − 6 x ² + 9 x ?

17.3.Найдите все целые x и у , удовлетворяющие системе

174Решите систему уравнений 175Дана функция f x 6 х ² 2 х 6 - фото 261

17.4.Решите систему уравнений

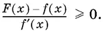
175Дана функция f x 6 х ² 2 х 6 Известно что ее график касается - фото 262

17.5.Дана функция f ( x ) = 6 х ² + 2 х + 6. Известно, что ее график касается графика первообразной F ( x ) этой функции в точке, абсцисса которой превосходит число 0,7. Найдите все значения x , для которых

Сборник задач по математике с решениями для поступающих в вузы - изображение 263

17.6.Изобразите на плоскости ( x , у ) множество точек, координаты которых удовлетворяют неравенству

log ( xу )( x + у ) ≥ 1.

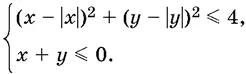
17.7.Найдите площадь фигуры, координаты точек которой удовлетворяют системе неравенств

178На координатной плоскости заданы точки A 0 2 B 1 7 С 10 7 и D - фото 264

17.8.На координатной плоскости заданы точки A (0; 2), B (1; 7), С (10; 7) и D (7; 1). Найдите площадь пятиугольника ABCDE, где E — точка пересечения прямых AC и BD.

17.9.Фигура задана на координатной плоскости системой

Сколько интервалов на прямой у 2 x образует ортогональная проекция данной - фото 265

Сколько интервалов на прямой у = 2 − x образует ортогональная проекция данной фигуры на эту прямую?

17.10.При каких значениях параметра а уравнение

x ² − ( а + 3) x + 2 а + 7 = 0

имеет 2 различных целых корня?

17.11.В зависимости от а определите число действительных корней уравнения

х 4− (1 − 2 а ) x ² + а ² − 1 = 0.

17.12.При каких значениях параметра а уравнение

2(2 а − 1) sin 4 х − ( а + 3) cos 8 х + 3 а = 1

имеет ровно восемь решений на отрезке [−π, π]?

17.13.На плоскости ( x , у ) укажите все точки, через которые не проходит ни одна из кривых семейства

у = x ² + 2( а − 1) x + 2( а − 1)² − 1,

где а — действительное число.

Глава 18

Задачи на составление уравнений

При решении задач на составление уравнений основную трудность представляет перевод условия задачи с обычного языка на язык математических символов и уравнений. Наиболее ответственный этап этого процесса — выбор неизвестных. Нельзя шаблонно выбирать в качестве неизвестных величины, стоящие в вопросе задачи. Основное требование, которому должны отвечать выбранные неизвестные, состоит в том, чтобы с их помощью можно было прозрачно записать сформулированные в условии задачи соотношения.

Читать дальше
Тёмная тема
Сбросить

Интервал:

Закладка:

Сделать

Похожие книги на «Сборник задач по математике с решениями для поступающих в вузы»

Представляем Вашему вниманию похожие книги на «Сборник задач по математике с решениями для поступающих в вузы» списком для выбора. Мы отобрали схожую по названию и смыслу литературу в надежде предоставить читателям больше вариантов отыскать новые, интересные, ещё непрочитанные произведения.


Отзывы о книге «Сборник задач по математике с решениями для поступающих в вузы»

Обсуждение, отзывы о книге «Сборник задач по математике с решениями для поступающих в вузы» и просто собственные мнения читателей. Оставьте ваши комментарии, напишите, что Вы думаете о произведении, его смысле или главных героях. Укажите что конкретно понравилось, а что нет, и почему Вы так считаете.

x