Альберт Рывкин - Сборник задач по математике с решениями для поступающих в вузы

Здесь есть возможность читать онлайн «Альберт Рывкин - Сборник задач по математике с решениями для поступающих в вузы» — ознакомительный отрывок электронной книги совершенно бесплатно, а после прочтения отрывка купить полную версию. В некоторых случаях можно слушать аудио, скачать через торрент в формате fb2 и присутствует краткое содержание. Город: Москва, Год выпуска: 2003, ISBN: 2003, Издательство: «ОНИКС 21 век» «Мир и Образование», Жанр: Математика, на русском языке. Описание произведения, (предисловие) а так же отзывы посетителей доступны на портале библиотеки ЛибКат.

Сборник задач по математике с решениями для поступающих в вузы: краткое содержание, описание и аннотация

Предлагаем к чтению аннотацию, описание, краткое содержание или предисловие (зависит от того, что написал сам автор книги «Сборник задач по математике с решениями для поступающих в вузы»). Если вы не нашли необходимую информацию о книге — напишите в комментариях, мы постараемся отыскать её.

Основу задачника составили варианты письменных работ по математике, предлагавшихся на вступительных экзаменах в ряде ведущих вузов Москвы.
Сборник содержит около 500 типовых задач. K каждой задаче дается до трех указаний, помогающих найти правильный путь к решению, а затем приводится подробное решение.
Пособие может использоваться при самостоятельной подготовке к экзаменам в вуз, а также на подготовительных отделениях и курсах.

Сборник задач по математике с решениями для поступающих в вузы — читать онлайн ознакомительный отрывок

Ниже представлен текст книги, разбитый по страницам. Система сохранения места последней прочитанной страницы, позволяет с удобством читать онлайн бесплатно книгу «Сборник задач по математике с решениями для поступающих в вузы», без необходимости каждый раз заново искать на чём Вы остановились. Поставьте закладку, и сможете в любой момент перейти на страницу, на которой закончили чтение.

Тёмная тема
Сбросить

Интервал:

Закладка:

Сделать

13.37. 1338 1339Найдите все пары чисел x у которые удовлетворяют уравнению - фото 242

13.38. 1339Найдите все пары чисел x у которые удовлетворяют уравнению tg 4 x - фото 243

13.39.Найдите все пары чисел x , у , которые удовлетворяют уравнению

tg 4 x + tg 4 у + 2 ctg² x ctg² у = 3 + sin² ( x + у ).

13.40.Решите уравнение

sin² x + ¼ sin² 3 x = sin x sin² 3 x .

13.41.Решите уравнение

cos x + cos у − cos ( x + у ) = 3/ 2.

13.42.Найдите все пары чисел а и b , при которых для любых x и у, удовлетворяющих условию x + у = а (где x ≠ π/ 2+ n π, у ≠ π/ 2+ n π, n , m = 0, ±1, ±2, ...), верно равенство tg x + tg у + tg x tg у = b .

13.43.Найдите все пары чисел x и у , которые удовлетворяют уравнению

1344Решите уравнение sin x 2 sin 2 x 3 sin 3 x 1345Решите - фото 244

13.44.Решите уравнение

sin x + 2 sin 2 x = 3 + sin 3 x .

13.45.Решите уравнение

sin x (cos x / 4− 2 sin x ) + cos x (1 + sin x / 4− 2 cos x ) = 0

13.46.Решите уравнение

1347Найдите все значения x удовлетворяющие одновременно следующим - фото 245

13.47.Найдите все значения x, удовлетворяющие одновременно следующим уравнениям:

cos 6 х + cos 8 х = 0, cos З х = 2 sin² 2 х

при условии, что | x | < 5.

13.48.Решите уравнение

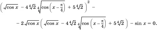
1349Решите уравнение 1350Решите уравнение 2 tg x tg x 2 4 ctg 2 х - фото 246

13.49.Решите уравнение

1350Решите уравнение 2 tg x tg x 2 4 ctg 2 х ctg З х 1351Решите - фото 247

13.50.Решите уравнение

2 tg x + tg x / 2+ 4 ctg 2 х = ctg З х .

13.51.Решите уравнение

Глава 14 Тригонометрические неравенства Решите неравенства 141sin x - фото 248

Глава 14

Тригонометрические неравенства

Решите неравенства:

14.1.|sin x | > |cos x |.

14.2.1 − sin x + cos x < 0.

14.3.sin x − З cos x < 0.

14.4.2 cos 2 х + sin 2 х > tg x .

14.5.cos x tg 2 х ≤ 0.

14.6.6 + cos 2 х + 13 cos x ≥ |5 − 2 cos 2 х − 6 sin² x − З cos x |.

14.7.Найдите решения неравенства

sin 2 х > √2 sin² x + (2 − √2) cos² x,

лежащие в интервале (0, 2π).

14.8.При каких значениях α, 0 ≤ α ≤ π, уравнение

2 х ² − 2(2 cos α − 1) x + 2 cos² α − 5 cos α + 2 = 0 имеет различные действительные корни? Исследуйте знаки корней.

Решите неравенства:

14.9. Сборник задач по математике с решениями для поступающих в вузы - изображение 249

14.10. Сборник задач по математике с решениями для поступающих в вузы - изображение 250

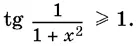
14.11. 1412tg x tg 3 x 1 1413 1414Найдите все значения x из интервала 0 - фото 251

14.12.tg x tg 3 x < −1.

14.13. 1414Найдите все значения x из интервала 0 x π удовлетворяющие - фото 252

14.14.Найдите все значения x из интервала 0 < x < π, удовлетворяющие неравенству

1415Докажите что при любом а имеет место неравенство 4 sin 3α 5 4 cos 2α - фото 253

14.15.Докажите, что при любом а имеет место неравенство

4 sin 3α + 5 ≥ 4 cos 2α + 5 sin α.

14.16.Решите неравенство

a ² sin² x ≤ sin² 3 x , а > 0.

14.17.При каких значениях x и у выражение

(2 cos t + ½ cos x cos у ) cos x cos у + 1 + cos x − cos у + cos 2 t

положительно при всех значениях t ? Укажите, где на координатной плоскости расположены точки ( x , у ), удовлетворяющие этому условию.

Глава 15

Трансцендентные неравенства

Решите неравенства:

15.1.(log sin x 2)² < log sin x (4 sin³ x ).

15.2. 153Найдите решения неравенства log 2cos x log 2tg x удовлетворяющие - фото 254

15.3.Найдите решения неравенства

log 2cos x > log 2tg x ,

удовлетворяющие условию 0 ≤ x ≤ π.

Решите неравенства:

15.4.4 log 16cos 2 х + 2 log 4sin x + log 2cos x + 3 < 0.

15.5.log |cos x + √3 sin x |½ > 0, если 0 ≤ x ≤ 2π.

Читать дальше
Тёмная тема
Сбросить

Интервал:

Закладка:

Сделать

Похожие книги на «Сборник задач по математике с решениями для поступающих в вузы»

Представляем Вашему вниманию похожие книги на «Сборник задач по математике с решениями для поступающих в вузы» списком для выбора. Мы отобрали схожую по названию и смыслу литературу в надежде предоставить читателям больше вариантов отыскать новые, интересные, ещё непрочитанные произведения.


Отзывы о книге «Сборник задач по математике с решениями для поступающих в вузы»

Обсуждение, отзывы о книге «Сборник задач по математике с решениями для поступающих в вузы» и просто собственные мнения читателей. Оставьте ваши комментарии, напишите, что Вы думаете о произведении, его смысле или главных героях. Укажите что конкретно понравилось, а что нет, и почему Вы так считаете.

x