Альберт Рывкин - Сборник задач по математике с решениями для поступающих в вузы

Здесь есть возможность читать онлайн «Альберт Рывкин - Сборник задач по математике с решениями для поступающих в вузы» — ознакомительный отрывок электронной книги совершенно бесплатно, а после прочтения отрывка купить полную версию. В некоторых случаях можно слушать аудио, скачать через торрент в формате fb2 и присутствует краткое содержание. Город: Москва, Год выпуска: 2003, ISBN: 2003, Издательство: «ОНИКС 21 век» «Мир и Образование», Жанр: Математика, на русском языке. Описание произведения, (предисловие) а так же отзывы посетителей доступны на портале библиотеки ЛибКат.

Сборник задач по математике с решениями для поступающих в вузы: краткое содержание, описание и аннотация

Предлагаем к чтению аннотацию, описание, краткое содержание или предисловие (зависит от того, что написал сам автор книги «Сборник задач по математике с решениями для поступающих в вузы»). Если вы не нашли необходимую информацию о книге — напишите в комментариях, мы постараемся отыскать её.

Основу задачника составили варианты письменных работ по математике, предлагавшихся на вступительных экзаменах в ряде ведущих вузов Москвы.
Сборник содержит около 500 типовых задач. K каждой задаче дается до трех указаний, помогающих найти правильный путь к решению, а затем приводится подробное решение.
Пособие может использоваться при самостоятельной подготовке к экзаменам в вуз, а также на подготовительных отделениях и курсах.

Сборник задач по математике с решениями для поступающих в вузы — читать онлайн ознакомительный отрывок

Ниже представлен текст книги, разбитый по страницам. Система сохранения места последней прочитанной страницы, позволяет с удобством читать онлайн бесплатно книгу «Сборник задач по математике с решениями для поступающих в вузы», без необходимости каждый раз заново искать на чём Вы остановились. Поставьте закладку, и сможете в любой момент перейти на страницу, на которой закончили чтение.

Тёмная тема
Сбросить

Интервал:

Закладка:

Сделать

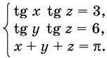
Системы тригонометрических уравнений.Предположим, что, преобразовывая систему тригонометрических уравнений, мы пришли к системе

Если переписать эту систему в виде то складывая и вычитая полученные - фото 223

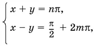
Если переписать эту систему в виде

то складывая и вычитая полученные уравнения придем к выводу что Решили ли - фото 224

то, складывая и вычитая полученные уравнения, придем к выводу, что

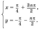
Решили ли мы систему Оказывается нет Решить систему значит найти все ее - фото 225

Решили ли мы систему? Оказывается, нет. Решить систему — значит, найти все ее решения, а из поля нашего зрения выпало такое очевидное решение как x = 3π/ 2, у = π/ 4(ни при каком целом n из выражения π/ 4+ 3 n π/ 2нельзя получить 3π/ 4).

В чем же ошибка? Ошибка очень проста: переходя от первоначальной системы к выражениям относительно x + у и xу , мы должны были сохранить их «независимость», которая присутствовала в исходной системе. Вместо этого мы «связали» их введением общего целочисленного переменного n .

Правильным было бы такое решение:

откуда x π 4 2 т n у π 4 π 22 т n Прежде чем приступать - фото 226

откуда

x = π/ 4+ (2 т + n ), у = − π/ 4− π/ 2(2 тn ).

Прежде чем приступать к решению задач, ознакомьтесь с введением к главе 9.

Решите уравнения:

13.1.1 + sin 2 x + 2√2 cos 3 x sin ( x + π/ 4) = 2 sin x + 2 cos 3 x + cos 2 x .

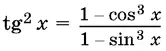
13.2. 133 134tg 2 x tg 7 x 1 135 1362 tg 3 x 3 tg 2 x - фото 227.

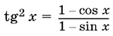
13.3. 134tg 2 x tg 7 x 1 135 1362 tg 3 x 3 tg 2 x tg² 2 x tg 3 x - фото 228.

13.4.tg 2 x tg 7 x = 1.

13.5. 1362 tg 3 x 3 tg 2 x tg² 2 x tg 3 x 137sin³ x cos³ x 1 2sin 2 - фото 229

13.6.2 tg 3 x − 3 tg 2 x = tg² 2 x tg 3 x .

13.7.sin³ x + cos³ x + 1/ √2sin 2 x sin ( x + π/ 4) = cos x + sin 3 x .

13.8.4 tg 4 x − 4 tg 3 x − tg 2 x = tg 2 x tg 3 x tg 4 x .

13.9.Найдите решения уравнения

лежащие в интервале 0 2π 1310Решите уравнение sin x α sin x sin - фото 230

лежащие в интервале (0, 2π).

13.10.Решите уравнение

sin ( x − α) = sin x − sin α.

13.11.Найдите решения уравнения

|cos 2 x | = |sin² xа |

( а — действительное число), удовлетворяющие неравенству

0 ≤ x ≤ 2π.

Решите уравнения:

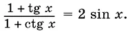
13.12. 1313tg x sin x ½ tg x sin x ½ 2 tg ½ x cos x 1314ctg 2 x 3 - фото 231

13.13.(tg x + sin x ) ½+ (tg x − sin x ) ½= 2 tg ½ x cos x .

13.14.ctg 2 x + 3 tg 3 x = 2 tg x + 2/ sin 4 x .

13.15.sec x ² + cosec x ² + sec x ² cosec x ² = 1.

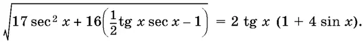
13.16. 13174 sin x 2 cos x 2 3 tg x 1318cos x cos² 3 x 4 1319sin - фото 232

13.17.4 sin x + 2 cos x = 2 + 3 tg x .

13.18.cos x = cos² 3 x / 4.

13.19.sin 4 x [2 + ctg x + ctg ( π/ 4− x ) = 2√2(1 + sin 2 x + cos 2 x ).

13.20.sin 4 x sin x − sin 3 x sin 2 x = ½ cos 3 x + (1 + cos x ) ½.

13.21.sin 4 x = m tg x , где m > 0.

13.22.sin x / 2(sin x + sin 2 x + ... + sin 100 x ) = ½ sin 101 x / 2.

13.23.sin² x + sin 2 x sin 4 x + ... + sin nx sin n ² x = 1.

13.24.4 cos x − 2 cos 2 x − cos 4 x = 1.

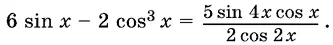
13.25. 1326sin³ x cos³ x 1 1327cos² 3 x ¼ cos² x cos 3 x cos 4 x - фото 233

13.26.sin³ x + cos³ x = 1.

13.27.cos² 3 x + ¼ cos² x = cos 3 x cos 4 x .

13.28.При каких значениях а уравнение

1 + sin² ax = cos x

имеет единственное решение?

Решите системы:

13.29. 1330 1331 1332 1333 - фото 234

13.30. 1331 1332 1333 1334 - фото 235

13.31. 1332 1333 1334 1335 - фото 236

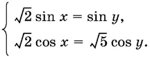
13.32. 1333 1334 1335 1336 - фото 237

13.33. 1334 1335 1336 1337 - фото 238

13.34. 1335 1336 1337 1338 - фото 239

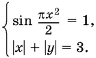
13.35. Сборник задач по математике с решениями для поступающих в вузы - фото 240

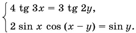
13.36. 1337 1338 1339Найдите все пары чисел x у которые удовлетвор - фото 241

Читать дальше
Тёмная тема
Сбросить

Интервал:

Закладка:

Сделать

Похожие книги на «Сборник задач по математике с решениями для поступающих в вузы»

Представляем Вашему вниманию похожие книги на «Сборник задач по математике с решениями для поступающих в вузы» списком для выбора. Мы отобрали схожую по названию и смыслу литературу в надежде предоставить читателям больше вариантов отыскать новые, интересные, ещё непрочитанные произведения.


Отзывы о книге «Сборник задач по математике с решениями для поступающих в вузы»

Обсуждение, отзывы о книге «Сборник задач по математике с решениями для поступающих в вузы» и просто собственные мнения читателей. Оставьте ваши комментарии, напишите, что Вы думаете о произведении, его смысле или главных героях. Укажите что конкретно понравилось, а что нет, и почему Вы так считаете.

x