Альберт Рывкин - Сборник задач по математике с решениями для поступающих в вузы

Здесь есть возможность читать онлайн «Альберт Рывкин - Сборник задач по математике с решениями для поступающих в вузы» — ознакомительный отрывок электронной книги совершенно бесплатно, а после прочтения отрывка купить полную версию. В некоторых случаях можно слушать аудио, скачать через торрент в формате fb2 и присутствует краткое содержание. Город: Москва, Год выпуска: 2003, ISBN: 2003, Издательство: «ОНИКС 21 век» «Мир и Образование», Жанр: Математика, на русском языке. Описание произведения, (предисловие) а так же отзывы посетителей доступны на портале библиотеки ЛибКат.

Сборник задач по математике с решениями для поступающих в вузы: краткое содержание, описание и аннотация

Предлагаем к чтению аннотацию, описание, краткое содержание или предисловие (зависит от того, что написал сам автор книги «Сборник задач по математике с решениями для поступающих в вузы»). Если вы не нашли необходимую информацию о книге — напишите в комментариях, мы постараемся отыскать её.

Основу задачника составили варианты письменных работ по математике, предлагавшихся на вступительных экзаменах в ряде ведущих вузов Москвы.
Сборник содержит около 500 типовых задач. K каждой задаче дается до трех указаний, помогающих найти правильный путь к решению, а затем приводится подробное решение.
Пособие может использоваться при самостоятельной подготовке к экзаменам в вуз, а также на подготовительных отделениях и курсах.

Сборник задач по математике с решениями для поступающих в вузы — читать онлайн ознакомительный отрывок

Ниже представлен текст книги, разбитый по страницам. Система сохранения места последней прочитанной страницы, позволяет с удобством читать онлайн бесплатно книгу «Сборник задач по математике с решениями для поступающих в вузы», без необходимости каждый раз заново искать на чём Вы остановились. Поставьте закладку, и сможете в любой момент перейти на страницу, на которой закончили чтение.

Тёмная тема
Сбросить

Интервал:

Закладка:

Сделать

9 −| x − 2| − 4 · 3 −| x − 2|− a = 0.

11.5.Для каждого действительного числа а решите уравнение

144 | x | − 2 · 12 | x |+ а = 0.

Решите уравнения:

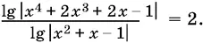
11.6. 117 118 119 1110log 33 - фото 182

11.7. 118 119 1110log 33 x 1 log 33 x 1 3 6 1111 - фото 183

11.8. 119 1110log 33 x 1 log 33 x 1 3 6 1111 1112 - фото 184

11.9. 1110log 33 x 1 log 33 x 1 3 6 1111 1112 1113 - фото 185

11.10.log 3(3 x − 1) log 3(3 x + 1 − 3) = 6.

11.11. 1112 1113 1114 1115log 0 - фото 186

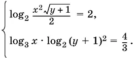
11.12. 1113 1114 1115log 05 x x ² 14 log 16 xx ³ 40 log 4 x x 0 - фото 187

11.13. 1114 1115log 05 x x ² 14 log 16 xx ³ 40 log 4 x x 0 1116 - фото 188

11.14. 1115log 05 x x ² 14 log 16 xx ³ 40 log 4 x x 0 1116 1117 - фото 189

11.15.log 0,5 x x ² − 14 log 16 xx ³ + 40 log 4 xx = 0.

11.16. 1117 1118 1119 где а 0 а - фото 190

11.17. 1118 1119 где а 0 а 1 1120Найдите неотрицательные решения - фото 191

11.18. Сборник задач по математике с решениями для поступающих в вузы - изображение 192

11.19. Сборник задач по математике с решениями для поступающих в вузы - изображение 193 где а > 0, а ≠ 1.

11.20.Найдите неотрицательные решения системы уравнений

Сборник задач по математике с решениями для поступающих в вузы - изображение 194

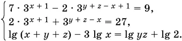
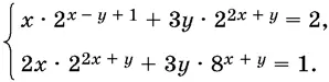
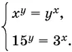
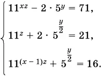
Решите системы уравнений:

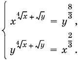
11.21. 1122 1123 1124 1125 - фото 195

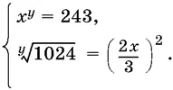
11.22. 1123 1124 1125 1126 - фото 196

11.23. 1124 1125 1126 1127 - фото 197

11.24. 1125 1126 1127 1128 - фото 198

11.25. 1126 1127 1128 1129 - фото 199

11.26. 1127 1128 1129 1130 - фото 200

11.27. 1128 1129 1130 Глав - фото 201

11.28. 1129 1130 Глава 12 Тригонометрические преобразования - фото 202

11.29. 1130 Глава 12 Тригонометрические преобразования Основные - фото 203

11.30. Глава 12 Тригонометрические преобразования Основные тригонометрические - фото 204

Глава 12

Тригонометрические преобразования

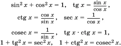
Основные тригонометрические формулы.

1. Зависимости между тригонометрическими функциями:

2 Тригонометрические функции суммы и разности аргументов sin x у sin - фото 205

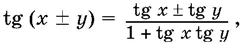
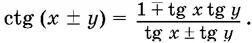
2. Тригонометрические функции суммы и разности аргументов:

sin ( x ± у ) = sin x cos у ± sin у cos x ,

cos ( x ± у ) = cos x cos у ± sin x sin у ,

3 Функции двойного и тройного аргумента - фото 206 3 Функции двойного и тройного аргумента sin 3 х 3 sin x - фото 207

3. Функции двойного и тройного аргумента:

sin 3 х 3 sin x 4 sin³ x cos 3 х 4 cos³ x 3 cos x 4 Формулы - фото 208 sin 3 х 3 sin x 4 sin³ x cos 3 х 4 cos³ x 3 cos x 4 Формулы - фото 209 sin 3 х 3 sin x 4 sin³ x cos 3 х 4 cos³ x 3 cos x 4 Формулы - фото 210

sin 3 х = 3 sin x − 4 sin³ x , cos 3 х = 4 cos³ x − 3 cos x .

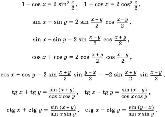
4. Формулы понижения степени для синуса и косинуса:

5 Функции половинного аргумента 6 Преобразование суммы функций в - фото 211

5. Функции половинного аргумента:

6 Преобразование суммы функций в произведение 7 Преобразование - фото 212

6. Преобразование суммы функций в произведение:

7 Преобразование произведения функций в сумму sin x cos y ½sin x y - фото 213

7. Преобразование произведения функций в сумму:

sin x cos y = ½[sin ( xy ) + sin ( x + y )],

cos x cos y = ½[cos ( xy ) + cos ( x + y )],

sin x sin y = ½[cos ( xy ) − cos ( x + y )].

Читать дальше
Тёмная тема
Сбросить

Интервал:

Закладка:

Сделать

Похожие книги на «Сборник задач по математике с решениями для поступающих в вузы»

Представляем Вашему вниманию похожие книги на «Сборник задач по математике с решениями для поступающих в вузы» списком для выбора. Мы отобрали схожую по названию и смыслу литературу в надежде предоставить читателям больше вариантов отыскать новые, интересные, ещё непрочитанные произведения.


Отзывы о книге «Сборник задач по математике с решениями для поступающих в вузы»

Обсуждение, отзывы о книге «Сборник задач по математике с решениями для поступающих в вузы» и просто собственные мнения читателей. Оставьте ваши комментарии, напишите, что Вы думаете о произведении, его смысле или главных героях. Укажите что конкретно понравилось, а что нет, и почему Вы так считаете.

x