Альберт Рывкин - Сборник задач по математике с решениями для поступающих в вузы

Здесь есть возможность читать онлайн «Альберт Рывкин - Сборник задач по математике с решениями для поступающих в вузы» — ознакомительный отрывок электронной книги совершенно бесплатно, а после прочтения отрывка купить полную версию. В некоторых случаях можно слушать аудио, скачать через торрент в формате fb2 и присутствует краткое содержание. Город: Москва, Год выпуска: 2003, ISBN: 2003, Издательство: «ОНИКС 21 век» «Мир и Образование», Жанр: Математика, на русском языке. Описание произведения, (предисловие) а так же отзывы посетителей доступны на портале библиотеки ЛибКат.

Сборник задач по математике с решениями для поступающих в вузы: краткое содержание, описание и аннотация

Предлагаем к чтению аннотацию, описание, краткое содержание или предисловие (зависит от того, что написал сам автор книги «Сборник задач по математике с решениями для поступающих в вузы»). Если вы не нашли необходимую информацию о книге — напишите в комментариях, мы постараемся отыскать её.

Основу задачника составили варианты письменных работ по математике, предлагавшихся на вступительных экзаменах в ряде ведущих вузов Москвы.
Сборник содержит около 500 типовых задач. K каждой задаче дается до трех указаний, помогающих найти правильный путь к решению, а затем приводится подробное решение.
Пособие может использоваться при самостоятельной подготовке к экзаменам в вуз, а также на подготовительных отделениях и курсах.

Сборник задач по математике с решениями для поступающих в вузы — читать онлайн ознакомительный отрывок

Ниже представлен текст книги, разбитый по страницам. Система сохранения места последней прочитанной страницы, позволяет с удобством читать онлайн бесплатно книгу «Сборник задач по математике с решениями для поступающих в вузы», без необходимости каждый раз заново искать на чём Вы остановились. Поставьте закладку, и сможете в любой момент перейти на страницу, на которой закончили чтение.

Тёмная тема
Сбросить

Интервал:

Закладка:

Сделать

10.42. 10432 x 1 1ох 22 2 x ² 1 1044 1045log x ² 13 x - фото 172

10.43.|√2 | x | − 1| · 1ох 2(2 − 2 x ²) > 1.

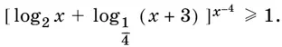
10.44. 1045log x ² 13 x 1 log x ² 1 x ² 1046 1047При каких - фото 173

10.45.log x ² − 1(3 x − 1) < log x ² − 1 x ².

10.46. 1047При каких значениях у верно следующее утверждение Существует хотя бы - фото 174

10.47.При каких значениях у верно следующее утверждение: «Существует хотя бы одно значение x , при котором удовлетворяется неравенство

2 log 0,5 y ² − 3 + 2 x log 0,5 y ² − x ² > 0»?

10.48.При каких значениях а из неравенства

x ² − а (1 + а ²) x + а 4< 0

следует неравенство

x ² + 4 x + 3 < 0?

10.49.Для каждого действительного а решите неравенство

1050Решите неравенство x ² 8 x 152 2 x x ² 7 x 10 - фото 175

10.50.Решите неравенство

( x ² + 8 x + 15)2 2 + x > x ² + 7 x + 10.

10.51.Определите, какие из чисел −4, −1, 1, 4 являются решениями неравенства

|0,5 − lg 5| x ≤ 0,5 − lg 5.

10.52.Решите неравенство

(√5 − 2) x − 6≤ (√5 + 2) √ x .

10.53.Решите неравенство

Глава 11 Логарифмические и показательные уравнения и системы Если а р где а - фото 176

Глава 11

Логарифмические и показательные уравнения и системы

Если а р , где а и p — действительные числа, существует, то

| a | = | а | p (1)

По определению log аN есть число, удовлетворяющее равенству

Сборник задач по математике с решениями для поступающих в вузы - изображение 177

где а > 0 и а ≠ 1.

Формулы

2 называются формулами потенцирования Первые две являются неабсолютными - фото 178

(2)

называются формулами потенцирования. Первые две являются неабсолютными тождествами (см. введение к главе 9); при четных n и третья формула оказывается неабсолютным тождеством. Применение этих формул при решении уравнений (под применением формулы мы понимаем замену в уравнении выражения, стоящего в ее левой части, на выражение, стоящее справа) может привести только к приобретению посторонних решений.

Формулы (2), прочитанные справа налево, называются формулами логарифмирования. Чтобы формулы логарифмирования не приводили к потере решений, ими пользуются в виде

log а хy = log а| x | + log а| y |;

log а x / y = log а| x | − log а| y |;

log а x 2 k = 2 k log а | x | ( k — целое, k ≠ 0).

Следующие формулы позволяют переходить от логарифма с одним основанием к логарифму с другим основанием:

Если в третьей из этих формул n 2 k то в правой части нужно писать вместо - фото 179

Если в третьей из этих формул n = 2 k , то в правой части нужно писать вместо основания а основание | а |.

Формула

3 является неабсолютным тождеством так как ее правая часть перестает - фото 180

(3)

является неабсолютным тождеством, так как ее правая часть перестает существовать при f ( x ) = 1, в то время как левая часть при соответствующих значениях x может существовать и обращаться в нуль.

Таким образом, применение формулы (3) может привести к потере решений, при которых f ( x ) = 1.

При решении уравнений вида

φ( x ) f ( x )= φ( x ) g ( x ) (4)

нужно воспользоваться условием равенства показателей: если φ( x ) ≠ −1, 0, +1, то следствием уравнения (4) является уравнение

f ( x ) = g ( x ). (5)

Пусть x = а — корень уравнения (4). Тогда

φ( а ) f ( а )= φ(а) g ( а ).

В силу (1) можно записать, что

|φ(а)| f ( а )= |φ(а)| g ( а ).

Так как |φ( x )| ≠ 0, 1 и |φ( x )| > 0, то по свойству показательной функции имеем

f (а) = g ( а ),

т. е. x = а — корень уравнения (5).

Случаи, когда φ( x ) равно −1, 0 или 1, нужно рассмотреть отдельно.

Решая уравнение (4), следует иметь в виду, что выражения вида 0/ 0и 0 0не имеют смысла.

11.1.Найдите log 56, если lg 2 = а , lg 3 = b .

11.2.Найдите lg 122,5, если lg 5 = а , lg 7 = b .

11.3.Решите уравнение

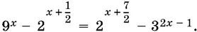
114Для каждого действительного числа а решите уравнение 9 x 2 4 3 - фото 181

11.4.Для каждого действительного числа а решите уравнение

Читать дальше
Тёмная тема
Сбросить

Интервал:

Закладка:

Сделать

Похожие книги на «Сборник задач по математике с решениями для поступающих в вузы»

Представляем Вашему вниманию похожие книги на «Сборник задач по математике с решениями для поступающих в вузы» списком для выбора. Мы отобрали схожую по названию и смыслу литературу в надежде предоставить читателям больше вариантов отыскать новые, интересные, ещё непрочитанные произведения.


Отзывы о книге «Сборник задач по математике с решениями для поступающих в вузы»

Обсуждение, отзывы о книге «Сборник задач по математике с решениями для поступающих в вузы» и просто собственные мнения читателей. Оставьте ваши комментарии, напишите, что Вы думаете о произведении, его смысле или главных героях. Укажите что конкретно понравилось, а что нет, и почему Вы так считаете.

x