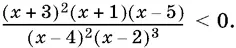
Пример 2.Решить неравенство ( x + 3)(2 x + 2)( x − 4)²(5 − x ) > 0.
Перепишем неравенство в виде
( x + 3)( x + 1)( x − 4)²( x − 5) < 0,
где в каждой скобке стоит двучлен с коэффициентом 1 при x . Множитель ( x − 4)² всегда неотрицателен и только в точке x = 4 обращается в нуль. Поэтому его влияние на решение неравенства
ограничивается тем, что он исключает точку x = 4 (рис. 10.5). Остается проследить чередование знаков в неравенстве
( x + 3)( x + 1)( x − 5) < 0.
Ответ. x < −3, −1 < x < 4, 4 < x < 5.
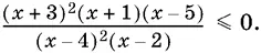
Пример 3.Решить неравенство
(3)
Данное неравенство не удовлетворяется в тех точках, где множители, стоящие в знаменателе, обращаются в нуль ( x = 4, x = 2). Поэтому исключим эти точки из дальнейшего рассмотрения, обозначив их на рис. 10.6 светлыми кружками.
В точках же, в которых обращается в нуль числитель ( x = −3, x = −1, x = 5), неравенство превращается в равенство, т. е. эти точки должны войти в решение неравенства (3). Отметим их на рисунке черными кружками [8] Если какая-то точка уже была отмечена светлым кружком, то изменять обозначение не следует.
).
Множители ( x + 3)² и ( x − 4)², не меняющие знака на всей числовой оси, можно опустить, так как их влияние уже учтено. Во всех остальных точках неравенство (3) равносильно такому:
( x + 1)( x − 5)( x − 2) < 0.
Ответ. x ≤ −1, 2 < x < 4, 4 < x ≤ 5.
Упражнения
Решите неравенства:
4.(5 − 2х)(3 − x)³(x − 4)² < 0.
5. 
Иррациональные неравенства.Решая уравнения, мы можем получать следствия данного уравнения и закончить решение проверкой, которая отсеивает посторонние корни. При решении же неравенств обычно получаются целые интервалы решений, что сильно усложняет проверку. Поэтому неравенства преобразовывают так, чтобы не нарушалась равносильность.
Начнем с иррациональных неравенств.
Пример 4.Решить неравенство
(4)
Нередко предлагают такое «решение»:
x ² − 55 х + 250 < ( x − 14)²,
−55х + 250 < −28 х + 196,
x > 2,
которое обосновывают следующим образом: «Левая часть меньше правой, но неотрицательна, так как мы имеем дело с арифметическим корнем. Следовательно, обе части данного неравенства неотрицательны, и его можно возвести в квадрат, не нарушая равносильности неравенства».
Чтобы убедиться, что неравенство решено неверно, подставим в данное неравенство, например, x = 10.
Проанализируем ход приведенных здесь рассуждений. Они доказывают, что если неравенство (4) удовлетворяется при некоторых x , то обе части его можно возвести в квадрат, и тогда x > 2. Однако отсюда не следует обратное, что исходное неравенство удовлетворяется при всех x > 2.
Присутствие в неравенстве (4) квадратного корня накладывало на неизвестное определенные ограничения, которые оказались разрушенными после возведения неравенства (4) в квадрат.
Трехчлен x ² − 55 х + 250 вначале стоял под знаком квадратного корня, а потому должен был быть неотрицательным. После возведения неравенства (4) в квадрат это ограничение исчезло; теперь ничто не мешает трехчлену стать отрицательным. Даже наоборот, в этом случае неравенство x ² − 55 х + 250 < ( x − 14)² удовлетворяется наверняка, так как справа стоит величина, которая не может стать меньше нуля.
Чтобы подкоренное выражение оставалось неотрицательным, мы должны добавить к полученному после возведения в квадрат неравенству требование x ² − 55 x + 250 ≥ 0, т. е. x ≤ 5, x ≥ 50. Из полупрямой x > 2 оказались выделенными две ее части: 2 < x ≤ 5, x ≥ 50.
Но и теперь еще не все. Достаточно подставить в исходное неравенство значение x = 4, и мы убедимся, что оно не удовлетворяется. Дело в том, что при возведении в квадрат мы устранили еще одно ограничение, которое присутствовало в неравенстве (4). В левой части первоначального неравенства стоит квадратный корень, т. е. неотрицательное число. Чтобы это неравенство удовлетворялось, правая его часть x − 14 должна быть больше нуля. Итак, надо добавить ограничение x − 14 > 0, которое присутствовало в исходном неравенстве и оказалось разрушенным после возведения в квадрат.
Читать дальше
Конец ознакомительного отрывка
Купить книгу