Альберт Рывкин - Сборник задач по математике с решениями для поступающих в вузы

Здесь есть возможность читать онлайн «Альберт Рывкин - Сборник задач по математике с решениями для поступающих в вузы» — ознакомительный отрывок электронной книги совершенно бесплатно, а после прочтения отрывка купить полную версию. В некоторых случаях можно слушать аудио, скачать через торрент в формате fb2 и присутствует краткое содержание. Город: Москва, Год выпуска: 2003, ISBN: 2003, Издательство: «ОНИКС 21 век» «Мир и Образование», Жанр: Математика, на русском языке. Описание произведения, (предисловие) а так же отзывы посетителей доступны на портале библиотеки ЛибКат.

Сборник задач по математике с решениями для поступающих в вузы: краткое содержание, описание и аннотация

Предлагаем к чтению аннотацию, описание, краткое содержание или предисловие (зависит от того, что написал сам автор книги «Сборник задач по математике с решениями для поступающих в вузы»). Если вы не нашли необходимую информацию о книге — напишите в комментариях, мы постараемся отыскать её.

Основу задачника составили варианты письменных работ по математике, предлагавшихся на вступительных экзаменах в ряде ведущих вузов Москвы.
Сборник содержит около 500 типовых задач. K каждой задаче дается до трех указаний, помогающих найти правильный путь к решению, а затем приводится подробное решение.
Пособие может использоваться при самостоятельной подготовке к экзаменам в вуз, а также на подготовительных отделениях и курсах.

Сборник задач по математике с решениями для поступающих в вузы — читать онлайн ознакомительный отрывок

Ниже представлен текст книги, разбитый по страницам. Система сохранения места последней прочитанной страницы, позволяет с удобством читать онлайн бесплатно книгу «Сборник задач по математике с решениями для поступающих в вузы», без необходимости каждый раз заново искать на чём Вы остановились. Поставьте закладку, и сможете в любой момент перейти на страницу, на которой закончили чтение.

Тёмная тема
Сбросить

Интервал:

Закладка:

Сделать
Сборник задач по математике с решениями для поступающих в вузы - изображение 157

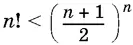
10.8.Докажите, что Сборник задач по математике с решениями для поступающих в вузы - изображение 158 при n > 1.

10.9.Докажите неравенство

a / b + b / c + c / a > 3

где а , b и с — положительные и не равные друг другу числа, не пользуясь неравенствами между средним арифметическим и средним геометрическим трех чисел.

10.10.Докажите, что

а ² + b ² + с ² ≥ 4 S √3,

где а , b , с — стороны, а S — площадь некоторого треугольника.

10.11.Докажите, что

( x − 1)( x − 3)( x − 4)( x − 6) + 10 ≥ 1

при всех действительных значениях x .

10.12.Докажите, что если действительные числа x , у , z , не равные нулю, удовлетворяют равенствам:

x + у + z = xуz и x ² = уz ,

то

x ² ≥ 3.

10.13.Докажите, что если x , у , z — действительные числа, удовлетворяющие равенствам

x + у + z = 5, уz + z x + x у = 8,

то

1 ≤ x ≤ 7/ 3, 1 ≤ y ≤ 7/ 3, 1 ≤ x ≤ 7/ 3. [9] Так в источнике (прим. от верстальщика fb2).

10.14. Решите неравенство

аx ² + x + 1 > 0,

где а ≠ 0 — произвольное действительное число.

10.15. Найдите все действительные значения m , при которых квадратный трехчлен x ² + mx + ( m ² + 6 m ) будет отрицателен при всех значениях x , удовлетворяющих неравенству 1 < x < 2.

10.16. Найдите все действительные значения а , при которых корни многочлена x ² + x + а будут действительными и оба корня будут больше а .

10.17.При каких значениях к корни многочлена

k ² x ² + kx − 2

будут действительными и один корень по абсолютной величине будет больше 1, а другой по абсолютной величине будет меньше 1?

10.18.Найдите все действительные значения m , для которых неравенство

тx ² − 4 x + 3 m + 1 > 0

удовлетворяется при всех положительных значениях x .

Решите неравенства:

10.19.| x ² − 2 x − 3| < 3 x − 3.

10.20.| x − 3| > | x + 2|.

10.21. Сборник задач по математике с решениями для поступающих в вузы - изображение 159

10.22. 1023 1024 1025 1026 - фото 160

10.23. 1024 1025 1026 10274 - фото 161

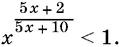
10.24. 1025 1026 10274 x 3 2 x x 4 x 1 1028 - фото 162

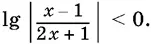
10.25. 1026 10274 x 3 2 x x 4 x 1 10284 x ² 3 x 1 x 3 - фото 163

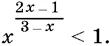
10.26. 10274 x 3 2 x x 4 x 1 10284 x ² 3 x 1 x 3 x 2 x - фото 164

10.27.4 x ≤ 3 · 2 √ x + x + 4 √ x +1.

10.28.4 x ² + 3 √ x +1+ x · 3 √ x < 2 x ² · 3 √ x + 2 x + 6.

10.29 [10] Требуется найти не только положительные значения x . . Сборник задач по математике с решениями для поступающих в вузы - изображение 165

Решите неравенства:

10.30.(4 x ² + 12 x + 10) | x ³ − 5 x + 2| ≥ (4 x ² + 12 x + 10) x − 2.

10.31. x log аx +1> а ² x .

10.32 [11] Требуется найти не только положительные значения x . . Сборник задач по математике с решениями для поступающих в вузы - изображение 166

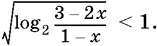
10.33. Сборник задач по математике с решениями для поступающих в вузы - изображение 167

10.34. Сборник задач по математике с решениями для поступающих в вузы - изображение 168

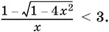
10.35. Сборник задач по математике с решениями для поступающих в вузы - изображение 169

10.36.log 2(2 x − 1) log ½(2 x + 1− 2) > −2.

10.37.log | x + 6|2 · log 2( x ² − x − 2) ≥ 1.

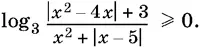
10.38. Сборник задач по математике с решениями для поступающих в вузы - изображение 170

10.39.log kxx + log x ( kx ²) > 0, где 0 < k < 1.

10.40.log x [log 2(4 x − 6)] ≤ 1.

10.41. 1042 10432 x 1 1ох 22 2 x ² 1 1044 1045log - фото 171

Читать дальше
Тёмная тема
Сбросить

Интервал:

Закладка:

Сделать

Похожие книги на «Сборник задач по математике с решениями для поступающих в вузы»

Представляем Вашему вниманию похожие книги на «Сборник задач по математике с решениями для поступающих в вузы» списком для выбора. Мы отобрали схожую по названию и смыслу литературу в надежде предоставить читателям больше вариантов отыскать новые, интересные, ещё непрочитанные произведения.


Отзывы о книге «Сборник задач по математике с решениями для поступающих в вузы»

Обсуждение, отзывы о книге «Сборник задач по математике с решениями для поступающих в вузы» и просто собственные мнения читателей. Оставьте ваши комментарии, напишите, что Вы думаете о произведении, его смысле или главных героях. Укажите что конкретно понравилось, а что нет, и почему Вы так считаете.

x