Альберт Рывкин - Сборник задач по математике с решениями для поступающих в вузы

Здесь есть возможность читать онлайн «Альберт Рывкин - Сборник задач по математике с решениями для поступающих в вузы» — ознакомительный отрывок электронной книги совершенно бесплатно, а после прочтения отрывка купить полную версию. В некоторых случаях можно слушать аудио, скачать через торрент в формате fb2 и присутствует краткое содержание. Город: Москва, Год выпуска: 2003, ISBN: 2003, Издательство: «ОНИКС 21 век» «Мир и Образование», Жанр: Математика, на русском языке. Описание произведения, (предисловие) а так же отзывы посетителей доступны на портале библиотеки ЛибКат.

Сборник задач по математике с решениями для поступающих в вузы: краткое содержание, описание и аннотация

Предлагаем к чтению аннотацию, описание, краткое содержание или предисловие (зависит от того, что написал сам автор книги «Сборник задач по математике с решениями для поступающих в вузы»). Если вы не нашли необходимую информацию о книге — напишите в комментариях, мы постараемся отыскать её.

Основу задачника составили варианты письменных работ по математике, предлагавшихся на вступительных экзаменах в ряде ведущих вузов Москвы.
Сборник содержит около 500 типовых задач. K каждой задаче дается до трех указаний, помогающих найти правильный путь к решению, а затем приводится подробное решение.
Пособие может использоваться при самостоятельной подготовке к экзаменам в вуз, а также на подготовительных отделениях и курсах.

Сборник задач по математике с решениями для поступающих в вузы — читать онлайн ознакомительный отрывок

Ниже представлен текст книги, разбитый по страницам. Система сохранения места последней прочитанной страницы, позволяет с удобством читать онлайн бесплатно книгу «Сборник задач по математике с решениями для поступающих в вузы», без необходимости каждый раз заново искать на чём Вы остановились. Поставьте закладку, и сможете в любой момент перейти на страницу, на которой закончили чтение.

Тёмная тема
Сбросить

Интервал:

Закладка:

Сделать

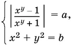
9.31.Найдите все значения а , при которых система

имеет хотя бы одно решение и всякое ее решение удовлетворяет уравнению x у - фото 111

имеет хотя бы одно решение и всякое ее решение удовлетворяет уравнению x + у = 0 ( а , x , у — действительные числа).

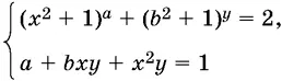
9.32.Найдите все значения а , при которых система

имеет хотя бы одно решение для любого значения b а b x у - фото 112

имеет хотя бы одно решение для любого значения b ( а , b , x , у — действительные числа).

9.33.Найдите все значения а и b , при которых система уравнений

имеет единственное решение x у а b действительные числа x 0 - фото 113

имеет единственное решение ( x , у , а , b — действительные числа, x > 0).

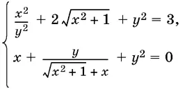
9.34.Решите систему

в области действительных чисел 935Решите уравнение 6 x 3 x - фото 114

в области действительных чисел.

9.35.Решите уравнение

|6 − | x − 3| − | x + 1|| − аx − 5 а = 4

при всех действительных значениях параметра а .

9.36.При всех действительных а решите уравнение

Сборник задач по математике с решениями для поступающих в вузы - фото 115

9.37.Решите уравнение

938Решите систему уравнений Глава 10 Алгебраические неравенства О - фото 116

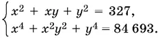
9.38.Решите систему уравнений

Глава 10 Алгебраические неравенства О доказательстве неравенствДоказать - фото 117

Глава 10

Алгебраические неравенства

О доказательстве неравенств.Доказать неравенство можно следующими способами, которые мы продемонстрируем на примере неравенства

Сборник задач по математике с решениями для поступающих в вузы - изображение 118

1. От противного. Предположим противное:

Сборник задач по математике с решениями для поступающих в вузы - изображение 119

Тогда

Сборник задач по математике с решениями для поступающих в вузы - изображение 120

что невозможно.

2. По определению неравенства. Составим разность левой и правой частей и определим ее знак:

3 Вывести из ранее доказанного или очевидного неравенства Мы знаем что - фото 121

3. Вывести из ранее доказанного или очевидного неравенства. Мы знаем, что

откуда Обратите внимание что следующее доказательство неравенства является - фото 122

откуда

Обратите внимание что следующее доказательство неравенства является - фото 123

Обратите внимание, что следующее «доказательство» неравенства является логически некорректным.

Если Сборник задач по математике с решениями для поступающих в вузы - изображение 124 и, следовательно,

Сборник задач по математике с решениями для поступающих в вузы - изображение 125

что очевидно.

Некорректность приведенных рассуждений состоит в том, что в качестве исходного пункта взято доказываемое неравенство. Таким образом установлено, что если Сборник задач по математике с решениями для поступающих в вузы - изображение 126то (√ а − √ b )² ≥ 0. Однако верное следствие может быть получено из ложной посылки. Если те же рассуждения провести в обратном порядке, то мы получим корректное доказательство, аналогичное тому, которое приведено выше под номером 3).

Решение неравенств. Система, совокупность.Решить неравенство — значит, найти все системы значений входящих в него неизвестных, при которых неравенство истинно, или доказать, что таких систем значений нет.

Если два или несколько неравенств должны удовлетворяться одновременно, то говорят, что они образуют систему .

Если достаточно, чтобы удовлетворялось одно из двух или нескольких неравенств, то говорят, что эти неравенства образуют совокупность .

Неравенства, образующие систему, записывают одно под другим, а сбоку ставят фигурную скобку — знак системы.

Например,

Сборник задач по математике с решениями для поступающих в вузы - изображение 127

Решение этой системы показано на рис. 10.1 двойной штриховкой. Эта же система неравенств может быть записана так: 3 < x < 7.

Читать дальше
Тёмная тема
Сбросить

Интервал:

Закладка:

Сделать

Похожие книги на «Сборник задач по математике с решениями для поступающих в вузы»

Представляем Вашему вниманию похожие книги на «Сборник задач по математике с решениями для поступающих в вузы» списком для выбора. Мы отобрали схожую по названию и смыслу литературу в надежде предоставить читателям больше вариантов отыскать новые, интересные, ещё непрочитанные произведения.


Отзывы о книге «Сборник задач по математике с решениями для поступающих в вузы»

Обсуждение, отзывы о книге «Сборник задач по математике с решениями для поступающих в вузы» и просто собственные мнения читателей. Оставьте ваши комментарии, напишите, что Вы думаете о произведении, его смысле или главных героях. Укажите что конкретно понравилось, а что нет, и почему Вы так считаете.

x