Альберт Рывкин - Сборник задач по математике с решениями для поступающих в вузы

Здесь есть возможность читать онлайн «Альберт Рывкин - Сборник задач по математике с решениями для поступающих в вузы» — ознакомительный отрывок электронной книги совершенно бесплатно, а после прочтения отрывка купить полную версию. В некоторых случаях можно слушать аудио, скачать через торрент в формате fb2 и присутствует краткое содержание. Город: Москва, Год выпуска: 2003, ISBN: 2003, Издательство: «ОНИКС 21 век» «Мир и Образование», Жанр: Математика, на русском языке. Описание произведения, (предисловие) а так же отзывы посетителей доступны на портале библиотеки ЛибКат.

Сборник задач по математике с решениями для поступающих в вузы: краткое содержание, описание и аннотация

Предлагаем к чтению аннотацию, описание, краткое содержание или предисловие (зависит от того, что написал сам автор книги «Сборник задач по математике с решениями для поступающих в вузы»). Если вы не нашли необходимую информацию о книге — напишите в комментариях, мы постараемся отыскать её.

Основу задачника составили варианты письменных работ по математике, предлагавшихся на вступительных экзаменах в ряде ведущих вузов Москвы.
Сборник содержит около 500 типовых задач. K каждой задаче дается до трех указаний, помогающих найти правильный путь к решению, а затем приводится подробное решение.
Пособие может использоваться при самостоятельной подготовке к экзаменам в вуз, а также на подготовительных отделениях и курсах.

Сборник задач по математике с решениями для поступающих в вузы — читать онлайн ознакомительный отрывок

Ниже представлен текст книги, разбитый по страницам. Система сохранения места последней прочитанной страницы, позволяет с удобством читать онлайн бесплатно книгу «Сборник задач по математике с решениями для поступающих в вузы», без необходимости каждый раз заново искать на чём Вы остановились. Поставьте закладку, и сможете в любой момент перейти на страницу, на которой закончили чтение.

Тёмная тема
Сбросить

Интервал:

Закладка:

Сделать

Таким образом,

f ( с ) = 0 (5′)

— истинное числовое равенство, т. е. x = с является также и корнем уравнения (5).

Остается убедиться в том, что уравнение (5) может иметь корни, посторонние для уравнения (4). Чтобы доказать это, достаточно привести пример. Уравнение

cos x + tg x − tg x = 0 (4′′)

после уничтожения подобных членов принимает вид

cos x = 0. (5′′)

Корнями уравнения (5′′) будут числа x = π/ 2+ k π. Но ни одно из них не удовлетворяет уравнению (4′′), так как tg x перестает существовать, когда cos x = 0.

Итак, теорема доказана.

Несколько уравнений могут образовать систему или совокупность.

Говорят о системе уравнений, если требуется найти все решения, общие для всех уравнений, входящих в систему.

Если же нужно найти все такие решения, которые удовлетворяют хотя бы одному из нескольких уравнений, то говорят, что эти уравнения образуют совокупность.

Систему уравнений обычно записывают в столбик и ставят сбоку фигурную скобку — знак системы; совокупность уравнений, как правило, записывается в строку. Если же совокупность уравнений удобнее записать в столбик, то слева ставят квадратную скобку — знак совокупности.

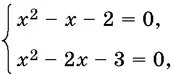
Если мы рассмотрим совокупность двух уравнений:

x ² − x − 2 = 0 и x ² − 2 x − 3 = 0,

то корни первого: x 1= 2, x 2= −1 нужно объединить с корнями второго: x 1= 3, x 2= −1. Получим решение совокупности:

x 1= 2, x 2= −1, x 3= 3.

Если же мы рассмотрим систему

то из корней первого уравнения нужно выбрать те которые удовлетворяют и - фото 76

то из корней первого уравнения нужно выбрать те, которые удовлетворяют и второму уравнению системы. Получим только одно решение системы: x = −1.

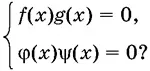
Уравнение

f ( x ) · φ( x ) = 0 (6)

называется распадающимся.

Теорема 2.Уравнение (6) равносильно совокупности двух систем :

7 ДоказательствоЕсли x а корень уравнения 6 то f а и φ а - фото 77

(7)

Доказательство.Если x = а — корень уравнения (6), то f ( а ) и φ( а ) существуют и либо f ( а ) = 0, либо φ( а ) = 0 (случай, когда оба сомножителя одновременно равны нулю нами из рассмотрения не исключен). Следовательно, одна из систем (7) удовлетворяется при x = а .

Пусть теперь x = а — корень совокупности (7). Если при x = а удовлетворяется либо первая, либо вторая система, то и в том и в другом случае f ( x ) · φ( x ) = 0, т. е. x = а — корень уравнения (6).

Упражнения

Докажите следующие теоремы о равносильности уравнений.

17.Если к обеим частям уравнения

f ( x ) = φ( x )

прибавить выражение ψ( x ), то в случае, когда ψ( x ) имеет смысл при всяком x , получится равносильное уравнение, в противном случае могут быть потеряны корни.

18.Уравнения

f ( x ) + ψ( x ) − ψ( x ) = φ( x )

и

f ( x ) = φ( x )

в случае, когда ψ( x ) имеет смысл при всяком x , равносильны; в противном случае второе уравнение является следствием первого.

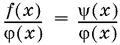
19.Если в уравнении

Сборник задач по математике с решениями для поступающих в вузы - изображение 78

(8)

отбросить знаменатель, то получится уравнение

f ( x ) = ψ( x ),

являющееся следствием данного уравнения.

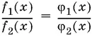
19а.Уравнение (8) равносильно системе

8а 20Если обе части уравнения f x φ x возвести в квадрат то - фото 79

(8а)

20.Если обе части уравнения f ( x ) = φ( x ) возвести в квадрат, то полученное уравнение

[ f ( x )]² = [φ( x )]² (9)

является следствием данного уравнения. Уравнение (9) равносильно совокупности двух уравнений:

f ( x ) = φ( x ), f ( x ) = −φ( x ).

21.Чему равносильна система

Сборник задач по математике с решениями для поступающих в вузы - изображение 80

22.Докажите, что следствием уравнения

Сборник задач по математике с решениями для поступающих в вузы - изображение 81

является уравнение

Сборник задач по математике с решениями для поступающих в вузы - изображение 82

при условии, что Сборник задач по математике с решениями для поступающих в вузы - изображение 83

Читать дальше
Тёмная тема
Сбросить

Интервал:

Закладка:

Сделать

Похожие книги на «Сборник задач по математике с решениями для поступающих в вузы»

Представляем Вашему вниманию похожие книги на «Сборник задач по математике с решениями для поступающих в вузы» списком для выбора. Мы отобрали схожую по названию и смыслу литературу в надежде предоставить читателям больше вариантов отыскать новые, интересные, ещё непрочитанные произведения.


Отзывы о книге «Сборник задач по математике с решениями для поступающих в вузы»

Обсуждение, отзывы о книге «Сборник задач по математике с решениями для поступающих в вузы» и просто собственные мнения читателей. Оставьте ваши комментарии, напишите, что Вы думаете о произведении, его смысле или главных героях. Укажите что конкретно понравилось, а что нет, и почему Вы так считаете.

x