и
2 lg (1 − x ) = 2
неравносильны. Равносильность нарушилась в результате уничтожения в правой и левой частях уравнения члена lg (1 + x ), который существенно ограничивал область определения уравнения. Таким образом, проверка здесь является необходимой частью решения.
Разобранный пример нередко предлагают решать так. Найдем область определения уравнения:
Теперь будем применять к уравнению те преобразования, которые не могут привести к потере корней:
lg (1 + x) + lg (1 − x)³ = lg (1 − x²) + lg 100,
lg [(1 + x)(1 − x)³] = lg 100(1 − x²),
(1 + x)(1 − x)³ = 100(1 − x²).
Решая последнее уравнение, найдем х 1= 1, х 2= −1, х 3= −9, х 4= 11. Так как все четыре числа не попали в интервал −1 < x < 1, то исходное уравнение не имеет корней.
Для данного уравнения такой метод решения оказывается верным, так как позволяет отбросить все найденные значения x. Однако основан он на ошибочном убеждении, что в процессе преобразований могут быть приобретены лишь те посторонние корни, которые не попадают в область определения исходного уравнения.
Приведем два примера.
Вначале рассмотрим уравнение
arcsin x = π/ 3+ arcsin x / 2.
Его область определения — отрезок −1 ≤ x ≤ 1. Возьмем синусы от правой и левой частей уравнения, в результате чего получим следствие
sin (arcsin x ) = sin ( π/ 3+ arcsin x / 2), т. е. 
Решая последнее уравнение, получим х 1= −1, х 2= 1. Оба значения x принадлежат области определения исходного уравнения, однако х 2= −1 — посторонний корень, в чем легко убедиться проверкой.
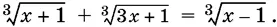
Решим теперь в области действительных чисел уравнение
Областью определения этого уравнения является вся числовая ось. Возведем данное уравнение в куб:
В последнее уравнение входит выражение
являющееся левой частью данного уравнения. Заменяем его правой частью этого уравнения. Получим
Возведя в куб, получим
( x + 1)(3 x + 1)( x − 1) = −( x + 1)³,
откуда x 1= −1, x 2= 0.
Проверка убеждает нас в том, что корень x 2= 0 является посторонним. Он появился в результате замены левой части данного уравнения на не равную ей тождественно правую часть.
Приведенные примеры свидетельствуют о том, что нахождение области определения уравнения (или, как иногда говорят, области допустимых значений — ОДЗ) не гарантирует нас от появления посторонних корней, т. е. не избавляет от необходимости делать проверку полученных в результате решения корней.
Это не означает, что находить область определения всегда бессмысленно. Можно привести много примеров, когда знание области определения существенно упрощает решение.
Что же касается проверки, то она оказывается излишней только в тех случаях, когда исследована эквивалентность применявшихся в процессе решения преобразований.
Для этого необходимо выяснить, при каких преобразованиях мы получаем следствие данного уравнения, а в каких случаях нам грозит потеря корней.
Посмотрим на примере, как исследуется равносильность двух уравнений. Имеет место следующая теорема.
Теорема 1.Если в уравнении произвести уничтожение двух подобным членов, то получится следствие данного уравнения.
Другими словами, если уравнение
f ( x ) + φ( x ) − φ( x ) = 0 (4)
заменить уравнением
f ( x ) = 0, (5)
то потери корней не произойдет, а приобретение корней может произойти.
Сначала докажем, что не произойдет потери корней, т. е. что любой корень x = с уравнения (4) является корнем уравнения (5). Если x = с — корень уравнения (4), то
f ( с ) + φ( c ) − φ( c ) = 0 (4′)
— истинное числовое равенство, где f ( с ) и φ( с ) — числа. Оно не нарушится в результате прибавления и последующего вычитания числа φ( c ).
Читать дальше
Конец ознакомительного отрывка
Купить книгу