Для любого математического выражения можно указать множество систем (наборов) значений входящих в него букв, при которых это выражение существует , т. е. принимает некоторое числовое значение. Такое множество мы будем называть областью определения ( областью существования ) рассматриваемого математического выражения.
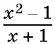
Для выражения
областью определения является числовая ось с «выколотой» точкой x = −1.
Для выражения log у √ x найти область определения уже несколько сложнее. Во-первых, из числа x извлекается квадратный корень. Эта операция возможна, если x ≥ 0. Чтобы затем можно было найти логарифм от √ x , необходимо √ x > 0. Оба условия выполняются при x > 0. В основании логарифма может стоять лишь положительное число, отличное от единицы. Таким образом, получаем область определения: x > 0, у > 0, у ≠ 1.
Два математических выражения называются тождественными , если
1) их области определения совпадают;
2) они принимают одинаковые числовые значения при подстановке в каждое выражение одного и того же набора значений входящих в него букв, произвольно выбранного из области определения.
Равенство, в котором правая и левая части являются тождественными выражениями, называется тождеством .
Для обозначения тождественного равенства иногда используется символ ≡.
Примеры тождеств: ( а − b )² = а ² − 2 аb + b ², sin² x + cos² x = 1, 
Первые два тождества общеизвестны. Последнее равенство тоже является тождеством. В самом деле, область определения левой части не содержит ни одной точки, область определения правой части тоже не содержит ни одной точки. Поскольку области определения правой и левой частей — пустые множества, то требования 1) и 2) в определении тождества удовлетворяются. Равенство
, как мы видели, истинно при всех x , кроме x = −1. Оно не является тождеством, так как требование 1) не удовлетворено. Однако нарушение происходит только в одной точке.
Введем понятие неабсолютного тождества.
Пусть в нашем распоряжении есть два математических выражения, имеющих разные области определения. Обозначим через U их общую часть. Если на множестве U значения обоих математических выражений совпадают, то говорят, что они неабсолютно тождественны , а соответствующее равенство называют неабсолютным тождеством .
Характерным примером неабсолютного тождества является соотношение
lg ху = lg x + lg у .
Область определения правой части: x > 0, у > 0, т. е. все точки плоскости, лежащие внутри I квадранта. Область определения левой части: x > 0, у > 0; x < 0, у < 0; это уже будут внутренние точки I и III квадрантов. Общая часть областей определения: x > 0, у > 0. На этой общей части приведенное соотношение превращается в истинное равенство.
Напомним определение тождества, которым обычно пользуются в средней школе.
Тождеством называется равенство, справедливое при всех значениях входящих в него букв, при которых обе его части имеют смысл.
Нетрудно заметить, что это определение объединяет понятия тождества и неабсолютного тождества в одно. Чтобы подчеркнуть, что мы пользуемся другим определением тождества, будем иногда вместо термина тождество употреблять термин абсолютное тождество .
Упражнения [2] Ответы к упражнениям 1—22 см. на с. 326—328.
Какие из следующих равенств являются абсолютными тождествами, а какие — неабсолютными? Приведите доказательство сделанного вами вывода.
1. sin² x + cos² x = 1,
2. tg x = sin x / cos x
3. tg x = 1/ ctg x
4. sec x = 1/ cos x
5. sec x cos x = 1,
6. sec x − 1/ cos x = 0,
7. 
8. 
9. 
10. 
11. 
12. 
Читать дальше
Конец ознакомительного отрывка
Купить книгу