Альберт Рывкин - Сборник задач по математике с решениями для поступающих в вузы

Здесь есть возможность читать онлайн «Альберт Рывкин - Сборник задач по математике с решениями для поступающих в вузы» — ознакомительный отрывок электронной книги совершенно бесплатно, а после прочтения отрывка купить полную версию. В некоторых случаях можно слушать аудио, скачать через торрент в формате fb2 и присутствует краткое содержание. Город: Москва, Год выпуска: 2003, ISBN: 2003, Издательство: «ОНИКС 21 век» «Мир и Образование», Жанр: Математика, на русском языке. Описание произведения, (предисловие) а так же отзывы посетителей доступны на портале библиотеки ЛибКат.

Сборник задач по математике с решениями для поступающих в вузы: краткое содержание, описание и аннотация

Предлагаем к чтению аннотацию, описание, краткое содержание или предисловие (зависит от того, что написал сам автор книги «Сборник задач по математике с решениями для поступающих в вузы»). Если вы не нашли необходимую информацию о книге — напишите в комментариях, мы постараемся отыскать её.

Основу задачника составили варианты письменных работ по математике, предлагавшихся на вступительных экзаменах в ряде ведущих вузов Москвы.
Сборник содержит около 500 типовых задач. K каждой задаче дается до трех указаний, помогающих найти правильный путь к решению, а затем приводится подробное решение.
Пособие может использоваться при самостоятельной подготовке к экзаменам в вуз, а также на подготовительных отделениях и курсах.

Сборник задач по математике с решениями для поступающих в вузы — читать онлайн ознакомительный отрывок

Ниже представлен текст книги, разбитый по страницам. Система сохранения места последней прочитанной страницы, позволяет с удобством читать онлайн бесплатно книгу «Сборник задач по математике с решениями для поступающих в вузы», без необходимости каждый раз заново искать на чём Вы остановились. Поставьте закладку, и сможете в любой момент перейти на страницу, на которой закончили чтение.

Тёмная тема
Сбросить

Интервал:

Закладка:

Сделать

По определению

По определению α 0 1 при а 0 Чтобы избежать недоразумений удобно - фото 33

По определению

α 0= 1 при а ≠ 0.

Чтобы избежать недоразумений, удобно договориться, что знак корня используется либо для обозначения арифметического корня из неотрицательного числа, либо отрицательного корня нечетной степени из отрицательного числа.

Таким образом, Для арифметических корней и корней нечетной степени из отрицательных чисел - фото 34.

Для арифметических корней и корней нечетной степени из отрицательных чисел справедливо правило умножения и деления корней :

Правило в силу которого показатель корня и показатель подкоренного выражения - фото 35

Правило, в силу которого показатель корня и показатель подкоренного выражения можно умножить на одно и то же натуральное число, справедливо для арифметических корней и не справедливо для корней нечетной степени из отрицательных чисел.

Замечание . В качестве показателя корня используются только натуральные числа. Иногда встречаются задачи, где показатели — достаточно сложные алгебраические выражения. Во избежание путаницы лучше знак корня в таких задачах не использовать, а прибегать к дробным показателям степени.

7.1.Упростите выражение

72Упростите выражение 73Упростите выражение После упрощения выражения - фото 36

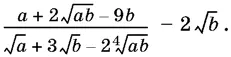
7.2.Упростите выражение

73Упростите выражение После упрощения выражения определите его знак в - фото 37

7.3.Упростите выражение

После упрощения выражения определите его знак в зависимости от x - фото 38

После упрощения выражения определите его знак в зависимости от x .

7.4.Упростите выражение

75Упростите выражение где 76Вычислите значения выражения - фото 39

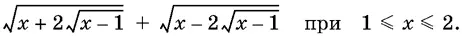
7.5.Упростите выражение

где 76Вычислите значения выражения 77Преобразуйте выражение - фото 40

где 76Вычислите значения выражения 77Преобразуйте выражение так чтобы - фото 41.

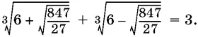
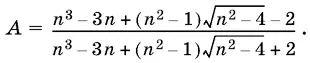
7.6.Вычислите значения выражения

77Преобразуйте выражение так чтобы оно не содержало сложных радикалов - фото 42

7.7.Преобразуйте выражение

так чтобы оно не содержало сложных радикалов 78Разложите на линейные - фото 43

так, чтобы оно не содержало сложных радикалов.

7.8.Разложите на линейные относительно x , у , z , u множители выражение

( xy + zu )( y ² + z ² − u ²) + ( xz + yu )( + у ² − z ² − u ²).

7.9.Докажите, что

710Докажите что если а b с 0 то 711Докажите что при всех - фото 44

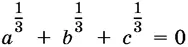
7.10.Докажите, что если а + b + с = 0, то

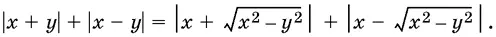
711Докажите что при всех действительных значениях x и у имеет место - фото 45

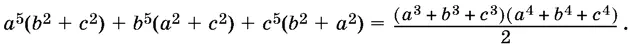
7.11.Докажите, что при всех действительных значениях x и у имеет место равенство

712Докажите что для любых действительных x и у имеющих одинаковые знаки - фото 46

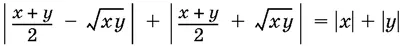
7.12.Докажите, что

для любых действительных x и у имеющих одинаковые знаки 713 Докажите что - фото 47

для любых действительных x и у , имеющих одинаковые знаки.

7.13. Докажите, что из условия

следует а b с ³ 27 аbс 714Квадратный трехчлен 24 х ² 48 x 26 - фото 48

следует

( а + b + с )³ = 27 аbс .

7.14.Квадратный трехчлен 24 х ² + 48 x + 26 есть разность кубов двух линейных функций с положительными коэффициентами. Найдите эти функции.

Глава 8

Делимость многочленов.

Теорема Безу. Целые уравнения

Многочлен S ( x ) называется частным , а многочлен R ( x ) — остатком от деления многочлена P ( x ) на многочлен Q ( x ), если равенство

P ( x ) = Q ( x ) · S ( x ) + R ( x )

является тождеством и степень многочлена R ( x ) меньше степени многочлена Q ( x ).

Обобщенная теорема Виета.Для корней х 1, х 2, ..., х nуравнения

Читать дальше
Тёмная тема
Сбросить

Интервал:

Закладка:

Сделать

Похожие книги на «Сборник задач по математике с решениями для поступающих в вузы»

Представляем Вашему вниманию похожие книги на «Сборник задач по математике с решениями для поступающих в вузы» списком для выбора. Мы отобрали схожую по названию и смыслу литературу в надежде предоставить читателям больше вариантов отыскать новые, интересные, ещё непрочитанные произведения.


Отзывы о книге «Сборник задач по математике с решениями для поступающих в вузы»

Обсуждение, отзывы о книге «Сборник задач по математике с решениями для поступающих в вузы» и просто собственные мнения читателей. Оставьте ваши комментарии, напишите, что Вы думаете о произведении, его смысле или главных героях. Укажите что конкретно понравилось, а что нет, и почему Вы так считаете.

x