Альберт Рывкин - Сборник задач по математике с решениями для поступающих в вузы

Здесь есть возможность читать онлайн «Альберт Рывкин - Сборник задач по математике с решениями для поступающих в вузы» — ознакомительный отрывок электронной книги совершенно бесплатно, а после прочтения отрывка купить полную версию. В некоторых случаях можно слушать аудио, скачать через торрент в формате fb2 и присутствует краткое содержание. Город: Москва, Год выпуска: 2003, ISBN: 2003, Издательство: «ОНИКС 21 век» «Мир и Образование», Жанр: Математика, на русском языке. Описание произведения, (предисловие) а так же отзывы посетителей доступны на портале библиотеки ЛибКат.

Сборник задач по математике с решениями для поступающих в вузы: краткое содержание, описание и аннотация

Предлагаем к чтению аннотацию, описание, краткое содержание или предисловие (зависит от того, что написал сам автор книги «Сборник задач по математике с решениями для поступающих в вузы»). Если вы не нашли необходимую информацию о книге — напишите в комментариях, мы постараемся отыскать её.

Основу задачника составили варианты письменных работ по математике, предлагавшихся на вступительных экзаменах в ряде ведущих вузов Москвы.
Сборник содержит около 500 типовых задач. K каждой задаче дается до трех указаний, помогающих найти правильный путь к решению, а затем приводится подробное решение.
Пособие может использоваться при самостоятельной подготовке к экзаменам в вуз, а также на подготовительных отделениях и курсах.

Сборник задач по математике с решениями для поступающих в вузы — читать онлайн ознакомительный отрывок

Ниже представлен текст книги, разбитый по страницам. Система сохранения места последней прочитанной страницы, позволяет с удобством читать онлайн бесплатно книгу «Сборник задач по математике с решениями для поступающих в вузы», без необходимости каждый раз заново искать на чём Вы остановились. Поставьте закладку, и сможете в любой момент перейти на страницу, на которой закончили чтение.

Тёмная тема
Сбросить

Интервал:

Закладка:

Сделать

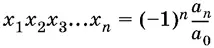
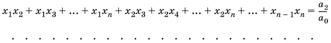
а 0 х n + a 1 x n − 1+ ... + а n − 1 x + а n = 0

имеют место формулы:

Для уравнения a 0 x n a 1 x n 1 а n 0 с целыми - фото 49 ,

Для уравнения a 0 x n a 1 x n 1 а n 0 с целыми коэффициентами - фото 50 ,

Для уравнения a 0 x n a 1 x n 1 а n 0 с целыми коэффициентами а - фото 51.

Для уравнения a 0 x n + a 1 x n − 1+ ... + а n = 0 с целыми коэффициентами а 0, а 1, ... , а n верна теорема: если уравнение имеет рациональный корень p/ q , то p числитель является делителем свободного члена а n, а знаменатель qделителем коэффициента а 0.

В частности, если а 0= 1, то уравнение может иметь только такие целые корни, которые являются делителями свободного члена а n .

8.1.Решите уравнение

( x − 4,5) 4+ ( x − 5,5) 4= 1.

8.2.Решите уравнение

(4 x + 1)(12 x − 1)(3 x + 2)( x + 1) = 4.

8.3.Докажите, что уравнение

x ² − 3 у ² = 17

не имеет решений в целых числах.

8.4.Найдите все целые решения уравнения

x ² − 6 + 13 у ² = 100.

8.5.Найдите остаток от деления многочлена x 99+ x ³ + 10 x + 5 на многочлен x ² + 1.

8.6.Найдите все целочисленные решения уравнения

2 x ² у ² + у ² − 6 x ² − 12 = 0.

8.7.В уравнении

x 4+ аx ³ + bx ² + 6 x + 2 = 0

один из корней равен √3 + 1. Найдите остальные корни уравнения, если а и b — рациональные числа.

8.8.При каких значениях а оба корня уравнения

x ² − ( а + 1) x + а + 4 = 0

отрицательны?

8.9.Найдите соотношение между а , b и с , если корни уравнения

x ³ + аx ² + bx + с = 0

образуют геометрическую прогрессию.

8.10.Известно, что уравнение x ³ + px + q = 0 имеет корни α 1, α 2, α 3. Выразите сумму α 1² + α 2² + α 3² через p и q .

8.11.При каких а и α трехчлен х ³ + ax + 1 делится на двучлен x − α без остатка и частное от деления при всех x больше нуля?

8.12.Остатки от деления многочлена относительно x на x − 2 и x − 3 равны соответственно 5 и 7. Найдите остаток от деления этого многочлена на ( x − 2)( x − 3).

8.13.Найдите все действительные значения p и q , при которых х 4+ 1 делится на + рх + q .

8.14.Докажите, что многочлен

n + 1 − (2 n + 1) х n + 1+ (2 n + 1) х n − 1,

где n — натуральное число, делится на ( x − 1)³.

8.15.Определите p и q так, чтобы многочлен

6 х 4 − 7 х ³ + рх ² + 3 х + 2

делился без остатка на x + q .

Глава 9

Алгебраические уравнения и системы

Равенства. Тождества.Два математических выражения, соединенных знаком =, образуют равенство .

Примеры равенств:

а ² + b ² = с ², 3 = 3, 3 = 5,

sin² x + cos² x = 1, Сборник задач по математике с решениями для поступающих в вузы - изображение 52, sin x = 3.

Числовое равенство может быть истинным (верным) или ложным (неверным). Равенство 3 = 3 истинное, равенство 3 = 5 ложное.

Буквенное равенство при различных значениях входящих в него букв также принимает одно из двух значений: «истина» или «ложь». Например, равенство а ² + b ² = с ² при а = 3, b = 4, с = 5 истинно, а при а = 3, b = 4, с = 6 ложно. Равенство sin² x + cos² x = 1 истинно при всех действительных значениях x , а равенство sin x = 3 всегда ложно.

Если какая-либо часть равенства (или обе части одновременно) перестает существовать, то равенство становится ложным. Равенство Сборник задач по математике с решениями для поступающих в вузы - изображение 53 ложно при Сборник задач по математике с решениями для поступающих в вузы - изображение 54, где k — любое целое число, так как для четных k не существует ctg x , а для нечетных k не существует tg x . Равенство Сборник задач по математике с решениями для поступающих в вузы - изображение 55ложно при x = −1, так как его левая часть теряет смысл при этом значении x (обратите внимание, что правая часть существует всегда). Обе части равенства sin x = 3 всегда имеют смысл, однако это равенство всегда ложно.

Читать дальше
Тёмная тема
Сбросить

Интервал:

Закладка:

Сделать

Похожие книги на «Сборник задач по математике с решениями для поступающих в вузы»

Представляем Вашему вниманию похожие книги на «Сборник задач по математике с решениями для поступающих в вузы» списком для выбора. Мы отобрали схожую по названию и смыслу литературу в надежде предоставить читателям больше вариантов отыскать новые, интересные, ещё непрочитанные произведения.


Отзывы о книге «Сборник задач по математике с решениями для поступающих в вузы»

Обсуждение, отзывы о книге «Сборник задач по математике с решениями для поступающих в вузы» и просто собственные мнения читателей. Оставьте ваши комментарии, напишите, что Вы думаете о произведении, его смысле или главных героях. Укажите что конкретно понравилось, а что нет, и почему Вы так считаете.

x