Альберт Рывкин - Сборник задач по математике с решениями для поступающих в вузы

Здесь есть возможность читать онлайн «Альберт Рывкин - Сборник задач по математике с решениями для поступающих в вузы» — ознакомительный отрывок электронной книги совершенно бесплатно, а после прочтения отрывка купить полную версию. В некоторых случаях можно слушать аудио, скачать через торрент в формате fb2 и присутствует краткое содержание. Город: Москва, Год выпуска: 2003, ISBN: 2003, Издательство: «ОНИКС 21 век» «Мир и Образование», Жанр: Математика, на русском языке. Описание произведения, (предисловие) а так же отзывы посетителей доступны на портале библиотеки ЛибКат.

Сборник задач по математике с решениями для поступающих в вузы: краткое содержание, описание и аннотация

Предлагаем к чтению аннотацию, описание, краткое содержание или предисловие (зависит от того, что написал сам автор книги «Сборник задач по математике с решениями для поступающих в вузы»). Если вы не нашли необходимую информацию о книге — напишите в комментариях, мы постараемся отыскать её.

Основу задачника составили варианты письменных работ по математике, предлагавшихся на вступительных экзаменах в ряде ведущих вузов Москвы.
Сборник содержит около 500 типовых задач. K каждой задаче дается до трех указаний, помогающих найти правильный путь к решению, а затем приводится подробное решение.
Пособие может использоваться при самостоятельной подготовке к экзаменам в вуз, а также на подготовительных отделениях и курсах.

Сборник задач по математике с решениями для поступающих в вузы — читать онлайн ознакомительный отрывок

Ниже представлен текст книги, разбитый по страницам. Система сохранения места последней прочитанной страницы, позволяет с удобством читать онлайн бесплатно книгу «Сборник задач по математике с решениями для поступающих в вузы», без необходимости каждый раз заново искать на чём Вы остановились. Поставьте закладку, и сможете в любой момент перейти на страницу, на которой закончили чтение.

Тёмная тема
Сбросить

Интервал:

Закладка:

Сделать

5.6. Дан куб с ребром а . Найдите геометрическое место середин отрезков длины l , один из концов которых лежит на диагонали верхнего основания, а другой — на непараллельной ей диагонали нижнего основания.

Глава 6

Свойства чисел. Делимость

6.1.Докажите, что р ² − 1 делится на 24, если p — простое число, большее 3.

6.2.Докажите, что n ³ + 2 n при любом натуральном n делится на 3.

6.3.Докажите, что число 3 105+ 4 105делится на 49 и 181.

6.4.Сколько в числе 500! содержится множителей 2?

6.5.Делится ли число на 81 66Определите при каких целых значениях n выражение n 4 4 является - фото 21 на 81?

6.6.Определите, при каких целых значениях n выражение n 4+ 4 является простым числом.

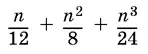
6.7.Докажите, что Сборник задач по математике с решениями для поступающих в вузы - изображение 22является целым числом при любом четном n .

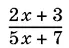
6.8.При каких целых значениях x дробь Сборник задач по математике с решениями для поступающих в вузы - изображение 23 сократима?

6.9.Найдите все пятизначные числа вида картинка 24 ( x — цифра сотен, y — цифра единиц), которые делятся на 36.

6.10.Найдите трехзначное число картинка 25 ( а , b , с — его цифры), если четырехзначное число картинка 26 в три раза больше четырехзначного числа картинка 27.

6.11.Найдите простое число p , если p + 2 и p + 4 — простые числа.

6.12.Докажите, что tg 5° — число иррациональное.

6.13.Найдите два последовательных натуральных числа, сумма цифр каждого из которых делится на 11.

6.14.Найдите все целочисленные решения уравнения

3 x ² − 16 xy − 35 y ² + 17 = 0.

6.15.Сколько различных целочисленных пар ( x , y ) удовлетворяют уравнению

x ² = 4 y ² + 20 025?

6.16.Найдите натуральные x и y , удовлетворяющие условию 113 x − 69 y = 11, сумма которых x + y принимает наименьшее значение.

Глава 7

Алгебраические преобразования

Следующие ниже замечания относятся не только к этой главе, они имеют более общий характер.

Множества точек x числовой оси, удовлетворяющих неравенствам

1) а < x < b ;

2) аxb ;

3) аx < b ;

4) а < xb ;

5) x > а ;

6) x < а ;

7) xа ;

8) xа ,

где а < b , называются интервалами и обозначаются соответственно (а, b); [а, b]; [а, b), (а, b]; (а, +∞); (−∞, а); [а, +∞); (−∞, а].

Интервалы 1), 5) и 6) называются открытыми ; интервал 2) называется замкнутым; интервалы 3), 4), 7) и 8) называются полуоткрытыми . Иногда вместо терминов: открытый интервал, замкнутый интервал, полуоткрытый интервал используют соответственно термины: промежуток (или интервал ), отрезок (или сегмент ), полуотрезок .

По определению

Для арифметического корня имеет место формула а ² а Иногда приходится - фото 28

Для арифметического корня имеет место формула

а ² = | а |.

Иногда приходится пользоваться формулами куба суммы и разности чисел в виде

( а + b )³ = а ³ + b ³ + 3 аb ( а + b );

( аb )³ = а ³ − b ³ − 3 аb ( аb ).

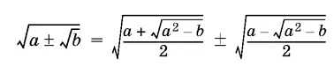
Следующая формула называется формулой сложного радикала:

все подкоренные выражения должны быть неотрицательными По определению где а - фото 29

(все подкоренные выражения должны быть неотрицательными).

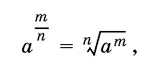
По определению

где а 0 m n натуральные числа и корень арифметический Из этого - фото 30

где а ≥ 0, m, n — натуральные числа и корень арифметический.

Из этого определения следует, что степени с отрицательным основанием и дробным показателем считаются не имеющими смысла . Например, Сборник задач по математике с решениями для поступающих в вузы - изображение 31 не имеет смысла, в то время как Сборник задач по математике с решениями для поступающих в вузы - изображение 32.

Читать дальше
Тёмная тема
Сбросить

Интервал:

Закладка:

Сделать

Похожие книги на «Сборник задач по математике с решениями для поступающих в вузы»

Представляем Вашему вниманию похожие книги на «Сборник задач по математике с решениями для поступающих в вузы» списком для выбора. Мы отобрали схожую по названию и смыслу литературу в надежде предоставить читателям больше вариантов отыскать новые, интересные, ещё непрочитанные произведения.


Отзывы о книге «Сборник задач по математике с решениями для поступающих в вузы»

Обсуждение, отзывы о книге «Сборник задач по математике с решениями для поступающих в вузы» и просто собственные мнения читателей. Оставьте ваши комментарии, напишите, что Вы думаете о произведении, его смысле или главных героях. Укажите что конкретно понравилось, а что нет, и почему Вы так считаете.

x