Альберт Рывкин - Сборник задач по математике с решениями для поступающих в вузы

Здесь есть возможность читать онлайн «Альберт Рывкин - Сборник задач по математике с решениями для поступающих в вузы» — ознакомительный отрывок электронной книги совершенно бесплатно, а после прочтения отрывка купить полную версию. В некоторых случаях можно слушать аудио, скачать через торрент в формате fb2 и присутствует краткое содержание. Город: Москва, Год выпуска: 2003, ISBN: 2003, Издательство: «ОНИКС 21 век» «Мир и Образование», Жанр: Математика, на русском языке. Описание произведения, (предисловие) а так же отзывы посетителей доступны на портале библиотеки ЛибКат.

Сборник задач по математике с решениями для поступающих в вузы: краткое содержание, описание и аннотация

Предлагаем к чтению аннотацию, описание, краткое содержание или предисловие (зависит от того, что написал сам автор книги «Сборник задач по математике с решениями для поступающих в вузы»). Если вы не нашли необходимую информацию о книге — напишите в комментариях, мы постараемся отыскать её.

Основу задачника составили варианты письменных работ по математике, предлагавшихся на вступительных экзаменах в ряде ведущих вузов Москвы.
Сборник содержит около 500 типовых задач. K каждой задаче дается до трех указаний, помогающих найти правильный путь к решению, а затем приводится подробное решение.
Пособие может использоваться при самостоятельной подготовке к экзаменам в вуз, а также на подготовительных отделениях и курсах.

Сборник задач по математике с решениями для поступающих в вузы — читать онлайн ознакомительный отрывок

Ниже представлен текст книги, разбитый по страницам. Система сохранения места последней прочитанной страницы, позволяет с удобством читать онлайн бесплатно книгу «Сборник задач по математике с решениями для поступающих в вузы», без необходимости каждый раз заново искать на чём Вы остановились. Поставьте закладку, и сможете в любой момент перейти на страницу, на которой закончили чтение.

Тёмная тема
Сбросить

Интервал:

Закладка:

Сделать

Найдите действительные корни уравнений:

9.1.| x | − 2| x + 1| + 3| x + 2| = 0.

9.2.| x ² − 9| + | x ² − 4| = 5.

9.3. 94 95 96 97 - фото 84

9.4. 95 96 97 а и b действител - фото 85

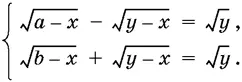
9.5. 96 97 а и b действительные числа 98 - фото 86

9.6. Сборник задач по математике с решениями для поступающих в вузы - изображение 87

9.7. Сборник задач по математике с решениями для поступающих в вузы - изображение 88 а и b — действительные числа.

9.8. Сборник задач по математике с решениями для поступающих в вузы - изображение 89 а — действительное число.

9.9. а действительное число 910Найдите действительные решения уравнения x ² - фото 90 а — действительное число.

9.10.Найдите действительные решения уравнения

| x ² − 3 · x / 2 − 1| = − x ² − 4 x + β

и определите, при каких значениях β оно имеет единственное [6] Два совпадающих решения считаются за одно. действительное решение.

9.11.Решите систему

Сборник задач по математике с решениями для поступающих в вузы - изображение 91

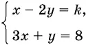
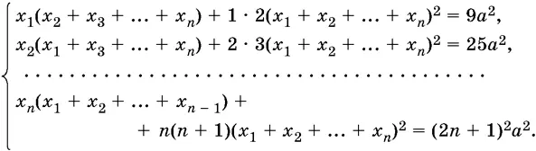
9.12.Найдите все действительные значения k , при которых решение системы

Сборник задач по математике с решениями для поступающих в вузы - изображение 92

удовлетворяет условию: x > 1/ k , у > 0.

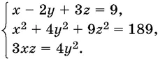
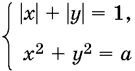
9.13.В области действительных чисел решите систему

914При каких значениях а система имеет действительные решения Найдите эти - фото 93

9.14.При каких значениях а система

имеет действительные решения Найдите эти решения Решите системы 915 - фото 94

имеет действительные решения? Найдите эти решения.

Решите системы:

9.15. Сборник задач по математике с решениями для поступающих в вузы - фото 95

9.16. Сборник задач по математике с решениями для поступающих в вузы - фото 96

9.17. Сборник задач по математике с решениями для поступающих в вузы - фото 97

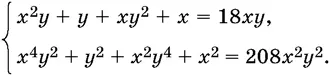
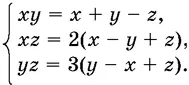
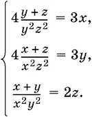
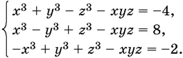
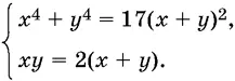
9.18. 919Числа x у и z удовлетворяют системе уравнений где а b с не равны друг - фото 98

9.19.Числа x , у и z удовлетворяют системе уравнений

где а b с не равны друг другу Найдите x ³ у ³ z ³ Решите системы - фото 99

где а, b, с не равны друг другу. Найдите x ³ + у ³ + z ³.

Решите системы:

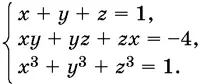
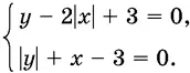
9.20. Сборник задач по математике с решениями для поступающих в вузы - фото 100

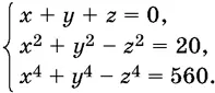
9.21. 922 923 924Найдите все действительные решения системы - фото 101

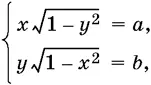
9.22. Сборник задач по математике с решениями для поступающих в вузы - фото 102

9.23. 924Найдите все действительные решения системы 925Найдите одно решение - фото 103

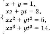
9.24.Найдите все действительные решения системы

925Найдите одно решение системы Решите системы в области действительных - фото 104

9.25.Найдите одно решение системы

Решите системы в области действительных чисел 926 927 928 - фото 105

Решите системы в области действительных чисел:

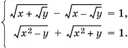
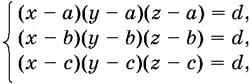
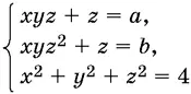
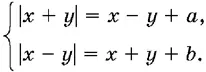
9.26. 927 928 929 если а b 0 - фото 106

9.27. 928 929 если а b 0 и а b 1 930Найдите все значени - фото 107

9.28. 929 если а b 0 и а b 1 930Найдите все значения а и b при - фото 108

9.29. если а b 0 и а b 1 930Найдите все значения а и b при которых - фото 109 если а > b > 0 и а + b < 1.

9.30.Найдите все значения а и b , при которых система

имеет единственное решение а b x у действительные числа - фото 110

имеет единственное решение ( а , b , x , у — действительные числа).

Читать дальше
Тёмная тема
Сбросить

Интервал:

Закладка:

Сделать

Похожие книги на «Сборник задач по математике с решениями для поступающих в вузы»

Представляем Вашему вниманию похожие книги на «Сборник задач по математике с решениями для поступающих в вузы» списком для выбора. Мы отобрали схожую по названию и смыслу литературу в надежде предоставить читателям больше вариантов отыскать новые, интересные, ещё непрочитанные произведения.


Отзывы о книге «Сборник задач по математике с решениями для поступающих в вузы»

Обсуждение, отзывы о книге «Сборник задач по математике с решениями для поступающих в вузы» и просто собственные мнения читателей. Оставьте ваши комментарии, напишите, что Вы думаете о произведении, его смысле или главных героях. Укажите что конкретно понравилось, а что нет, и почему Вы так считаете.

x