Альберт Рывкин - Сборник задач по математике с решениями для поступающих в вузы

Здесь есть возможность читать онлайн «Альберт Рывкин - Сборник задач по математике с решениями для поступающих в вузы» — ознакомительный отрывок электронной книги совершенно бесплатно, а после прочтения отрывка купить полную версию. В некоторых случаях можно слушать аудио, скачать через торрент в формате fb2 и присутствует краткое содержание. Город: Москва, Год выпуска: 2003, ISBN: 2003, Издательство: «ОНИКС 21 век» «Мир и Образование», Жанр: Математика, на русском языке. Описание произведения, (предисловие) а так же отзывы посетителей доступны на портале библиотеки ЛибКат.

Сборник задач по математике с решениями для поступающих в вузы: краткое содержание, описание и аннотация

Предлагаем к чтению аннотацию, описание, краткое содержание или предисловие (зависит от того, что написал сам автор книги «Сборник задач по математике с решениями для поступающих в вузы»). Если вы не нашли необходимую информацию о книге — напишите в комментариях, мы постараемся отыскать её.

Основу задачника составили варианты письменных работ по математике, предлагавшихся на вступительных экзаменах в ряде ведущих вузов Москвы.
Сборник содержит около 500 типовых задач. K каждой задаче дается до трех указаний, помогающих найти правильный путь к решению, а затем приводится подробное решение.
Пособие может использоваться при самостоятельной подготовке к экзаменам в вуз, а также на подготовительных отделениях и курсах.

Сборник задач по математике с решениями для поступающих в вузы — читать онлайн ознакомительный отрывок

Ниже представлен текст книги, разбитый по страницам. Система сохранения места последней прочитанной страницы, позволяет с удобством читать онлайн бесплатно книгу «Сборник задач по математике с решениями для поступающих в вузы», без необходимости каждый раз заново искать на чём Вы остановились. Поставьте закладку, и сможете в любой момент перейти на страницу, на которой закончили чтение.

Тёмная тема
Сбросить

Интервал:

Закладка:

Сделать

Эту же задачу можно было бы решить с помощью меньшего числа неизвестных, если ввести в рассмотрение, помимо величин x , у и z , имеющих прежний смысл, величину t , обозначающую время, в течение которого рабочие работали вместе, т. е. время работы третьего рабочего. Это привело бы нас к системе:

t ( x + у + z ) = 5/ 6 (1′)

(за время t рабочие сделали вместе 5/ 6 всей работы),

tz = ( t + 2) у = ⅓ (2′)

(за время t третий рабочий сделал треть всей работы, а второму на это потребовалось на 2 ч больше),

1/ x + y + 9 = 1/ z (3′)

(первый и второй рабочие выполняют всю работу на 9 ч быстрее, чем третий, работая один).

Поскольку tz = ⅓, то из (1′) найдем

x + y = 1/ 2 t .

Вместе с z = 1/ 3 t подставим в (3′). Получим

t = 9.

Как и прежде, найдем последовательно z, у и x . На вопрос задачи можно ответить, вспомнив, что первый рабочий работал столько, чтобы успеть сделать ⅓ всей работы, т. е. 1/ 3 x .

Конечно, второе решение выглядит более изящно, чем первое. Однако признать его лучшим трудно, поскольку за те простые уравнения, от которых мы отказались, пришлось уплатить некоторым усложнением логики.

А теперь приведем арифметическое решение этой задачи — решение, в котором удается обойтись вообще без составления уравнений.

Так как рабочие совместно выполнили 1 − 1/ 6= 5/ 6всей работы, причем третий сделал ⅓, то на долю первого и второго осталось 5/ 6− ⅓ = ½ всей работы. Следовательно, если бы первый и второй успели выполнить всю работу, то третий за то же самое время сделал бы ⅔; ему останется 1 − ⅔ = ⅓ , на что ему потребовалось бы в силу последнего условия задачи 9 ч.

Так как каждый рабочий сделал одинаковое количество деталей, т. е. ⅓ всей работы, то третий работал ровно 9 ч. Тогда второй работал 9 + 2 = 11 ч. Так как он тоже сделал ⅓ всей работы, то его производительность равна 1/ 33всей работы в час. Мы знаем, что первый и второй тратят на ½ всей работы столько же, сколько третий на ⅓, т. е. 9 ч. Второй сделает за это время 33 · 9 = 3/ 11всей работы. Следовательно, на долю первого приходится ½ − 3/ 11= 5/ 22. Его производительность 5/ 22: 9 = 5/ 198в час. Свою треть работы он выполнил за ⅓ : 5/ 198= 13 1/ 5 (ч), т. е. за 13 ч 12 мин.

Хотя решение выглядит намного красивее, чем первые два, его тоже трудно назвать существенно лучшим. Взгляните внимательно на уравнения второго решения, и вы заметите, что третье решение получено почти «дословным» пересказом этих уравнений.

Таким образом, на пути к решению задачи вас не должно останавливать большое число неизвестных, которые, по вашему мнению, следует ввести.

Однако старайтесь не вводить неизвестные, размерность которых не встречается в условии и не может быть получена как комбинация элементов условия. Введение таких неизвестных может усложнить задачу.

Вот простой пример.

Пример 2.Расстояние между двумя пунктами A и В пароход проходит по течению реки на а ч быстрее, чем то же расстояние в стоячей воде, и на b ч быстрее, чем против течения ( b > а > 0). За какое время пароход проходит расстояние от A до В по течению?

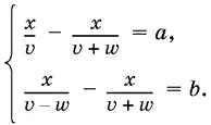
Если ввести в рассмотрение неизвестные: v — скорость парохода в стоячей воде, w — скорость течения реки, x — расстояние, то получим систему двух уравнений с тремя неизвестными:

Найти из этой системы величину x v w можно если сделать следующие - фото 266

Найти из этой системы величину x / v + w можно, если сделать следующие преобразования:

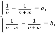
и обозначить v x у w x z Мы придем к системе относительно у и z - фото 267

и обозначить v / x = у , w / x = z . Мы придем к системе относительно у и z , решив которую, вычислим 1/ y + z .

Однако такую систему можно было получить сразу, если бы мы не ввели в качестве неизвестного x пройденное пароходом расстояние.

В условии задачи не было чисел, выраженных в километрах, однако расстояние между пунктами являлось существенным связующим звеном. Это означает, что мы должны были принять его за единицу, а скорости v и w выражать в частях расстояния, пройденных за один час. В результате мы пришли бы к системе

которую не пришлось бы преобразовывать Разберем еще одну задачу на примере - фото 268

которую не пришлось бы преобразовывать.

Разберем еще одну задачу, на примере которой видно, как решаются задачи на движение.

Читать дальше
Тёмная тема
Сбросить

Интервал:

Закладка:

Сделать

Похожие книги на «Сборник задач по математике с решениями для поступающих в вузы»

Представляем Вашему вниманию похожие книги на «Сборник задач по математике с решениями для поступающих в вузы» списком для выбора. Мы отобрали схожую по названию и смыслу литературу в надежде предоставить читателям больше вариантов отыскать новые, интересные, ещё непрочитанные произведения.


Отзывы о книге «Сборник задач по математике с решениями для поступающих в вузы»

Обсуждение, отзывы о книге «Сборник задач по математике с решениями для поступающих в вузы» и просто собственные мнения читателей. Оставьте ваши комментарии, напишите, что Вы думаете о произведении, его смысле или главных героях. Укажите что конкретно понравилось, а что нет, и почему Вы так считаете.

x