
Чтобы получить спин интересующего нас состояния Ne 20*, вычертим интенсивность наблюдений второй a-частицы как функцию угла и сравним с теоретическими кривыми для различных значений j . Как мы отмечали в конце предыдущего параграфа, амплитуды < j ,0| R y (q)| j ,0>—это просто функции Р j (cosq). Значит, угловые распределения будут следовать кривым [ P j (cosq)] 2. Экспериментальные результаты для двух возбужденных состояний показаны на фиг. 16.10.

Фиг. 16.10. Экспериментальные результаты измерений углового распределения a -частиц, вылетающих при распаде двух возбужденных состояний Ne 20 .
Они получены на устройстве, показанном на фиг. 16.9.
Вы видите, что угловое распределение для состояния 5,80 Мэв очень хорошо укладывается на кривую [Р 1(cosq)] 2, т. е. оно должно быть состоянием со спином 1. С другой стороны, данные для состояния 5,63 Мэв выглядят совершенно иначе; они ложатся на кривую [ Р 3(cosq)] 2. Спин этого состояния равен 3.
В этом опыте мы измерили момент количества движения двух возбужденных состояний Ne 20*. Этой информацией можно воспользоваться, чтобы понять, как ведут себя протоны и нейтроны внутри этого ядра, и это принесет нам добавочные сведения о таинственных ядерных силах.
§ 6. Сложение моментов количества движения
Когда мы изучали сверхтонкую структуру атома водорода в гл. 10 (вып. 8), нам пришлось рассчитывать внутренние состояния системы, составленной из двух частиц — электрона и протона — со спинами 1/ 2. Мы нашли, что четверка возможных спиновых состояний такой системы может быть разбита на две группы — на тройку состояний с одной энергией, которая во внешнем поле выглядела как частица со спином 1, и на одно оставшееся состояние, которое вело себя как частица со спином 0. Иначе говоря, объединяя две частицы со спином 1/ 2, можно образовать систему, «полный спин» которой равен либо единице, либо нулю. В этом параграфе мы хотим рассмотреть на более общем уровне спиновые состояния системы, составленной из двух частиц с произвольными спинами. Это другая важная проблема, связанная с моментами количества движения квантовомеханической системы.
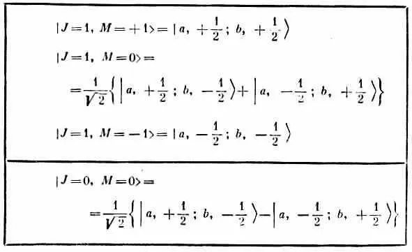
Перепишем сперва результаты гл. 10 для атома водорода в форме, которая позволит распространить их на более общий случай. Мы начали с двух частиц, которые теперь обозначим так: частица а (электрон) и частица b (протон). Спин частицы а был равен j a (= 1/ 2), a z-компонента момента количества движения m а могла принимать одно из нескольких значений (на самом деле два, а именно m а =+ 1/ 2или m а = - 1 / 2). Точно так же спиновое состояние частицы b описывалось ее спином j b и z-компонентой момента количества движения m b . Из всего этого можно было составить несколько комбинаций спиновых состояний двух частиц. Например, из частицы а с m а = 1/ 2и частицы b с m b =- 1/ 2можно было образовать состояние | а, + 1/ 2; b , - 1/ 2>. Вообще, объединенные состояния образовывали систему, у которой «спин системы», или «полный спин», или «полный момент количества движения» J мог быть равен либо единице, либо нулю, а z-компонента момента количества движения М могла равняться +1, 0 или -1 при J =1 и нулю при J =0. На этом новом языке формулы (10.41) и (10.42) можно переписать так, как показано в табл. 16.3.
Левый столбец таблицы описывает составное состояние через его полный момент количества движения J и z -компоненту М.
Таблица 16.3 · СОСТАВЛЕНИЕ МОМЕНТОВ КОЛИЧЕСТВА ДВИЖЕНИЯ ДВУХ ЧАСТИЦ СО СПИНОМ 1/ 2,

Правый столбец показывает, как составляются эти состояния из значений т двух частиц а и b .
Мы хотим обобщить этот результат на состояния, составленные из двух объектов а и b с произвольными спинами j а и j b . Начнем с разбора примера, когда j а = 1/ 2и j b =1, а именно с атома дейтерия, в котором частица а — это электрон е, а частица b — ядро, т. е. дейтрон d . Тогда j a = j e = 1 / 2. Дейтрон образован из одного протона и одного нейтрона в состоянии с полным спином 1, так что j b = j d = 1. Мы хотим рассмотреть сверхтонкие состояния дейтерия, как мы сделали это для водорода. Поскольку у дейтрона может быть три состояния, m b = m d =+1, 0, -1, а у электрона — два, m а = m е =+ 1/ 2, - 1/ 2, то всего имеется шесть возможных состояний, а именно (используется обозначение
Читать дальше