Eco - Le pendule de Foucault
Здесь есть возможность читать онлайн «Eco - Le pendule de Foucault» весь текст электронной книги совершенно бесплатно (целиком полную версию без сокращений). В некоторых случаях можно слушать аудио, скачать через торрент в формате fb2 и присутствует краткое содержание. Жанр: Современная проза, Историческая проза, на французском языке. Описание произведения, (предисловие) а так же отзывы посетителей доступны на портале библиотеки ЛибКат.
- Название:Le pendule de Foucault
- Автор:
- Жанр:
- Год:неизвестен
- ISBN:нет данных
- Рейтинг книги:3 / 5. Голосов: 1
-
Избранное:Добавить в избранное
- Отзывы:
-
Ваша оценка:
- 60
- 1
- 2
- 3
- 4
- 5
Le pendule de Foucault: краткое содержание, описание и аннотация
Предлагаем к чтению аннотацию, описание, краткое содержание или предисловие (зависит от того, что написал сам автор книги «Le pendule de Foucault»). Если вы не нашли необходимую информацию о книге — напишите в комментариях, мы постараемся отыскать её.
Le pendule de Foucault — читать онлайн бесплатно полную книгу (весь текст) целиком
Ниже представлен текст книги, разбитый по страницам. Система сохранения места последней прочитанной страницы, позволяет с удобством читать онлайн бесплатно книгу «Le pendule de Foucault», без необходимости каждый раз заново искать на чём Вы остановились. Поставьте закладку, и сможете в любой момент перейти на страницу, на которой закончили чтение.
Интервал:
Закладка:
Tout ensemble la masse qui remplissait la nef s'était déplacée, et certains tombaient, révulsés, d'autres menaçaient de renverser le fardier de Cugnot. J'entendis – du moins je crois, mais je ne peux avoir imaginé un détail aussi grotesque – la voix de Garamond qui disait : « Je vous en prie, messieurs, un minimum d'éducation... » Bramanti, dans un état extatique, s'agenouillait devant le corps de Lorenza, en déclamant : « Asar, Asar ! Qui me saisit à la gorge ? Qui me cloue au sol ? Qui poignarde mon cœur ? Je suis indigne de franchir le seuil de la maison de Matt ! »
Peut-être personne ne le voulait, peut-être le sacrifice de Lorenza devait-il suffire, mais les acolytes se poussaient désormais à l'intérieur du cercle magique, rendu accessible par l'arrêt du Pendule, et quelqu'un – j'aurais juré que c'était Ardenti – fut catapulté par les autres contre la table, qui s'évanouit littéralement sous les pieds de Belbo, et, en vertu du même élan donné à la table disparue, le Pendule commençait une oscillation rapide, violente, arrachant sa victime avec lui. La corde s'était tendue sous le poids de la sphère et avait resserré sa boucle, maintenant comme un nœud coulant autour du cou de mon pauvre ami, projeté en l'air, qui pendait le long du fil du Pendule et, envolé soudain vers l'extrémité orientale du choeur, revenait en arrière à présent, déjà sans vie (je l'espère), dans ma direction.
La foule en se piétinant s'était de nouveau retirée sur les bords pour laisser l'espace au prodige. Le préposé aux oscillations, grisé par la renaissance du Pendule, en secondait l'élan, agissant directement sur le corps du pendu. L'axe d'oscillation formait une diagonale de mes yeux à une des verrières, celle, à coup sûr, avec l'écaillure, par où aurait dû pénétrer d'ici quelques heures le premier rayon de soleil. Je ne voyais donc pas Jacopo osciller face à moi, mais je crois qu'ainsi sont allées les choses, que c'est bien la figure qu'il traçait dans l'espace...
Le cou de Belbo apparaissait comme une seconde sphère insérée le long du segment de fil qui allait de la base à la clef de voûte et – comment dire – tandis que la sphère de métal se tendait à droite, la tête de Belbo, l'autre sphère, penchait à gauche, et inversement. Pendant un long moment, les deux sphères prirent des directions opposées si bien que ce qui sabrait l'espace n'était plus une droite, mais une structure triangulaire. Cependant, alors que la tête de Belbo suivait la traction du fil tendu, son corps, lui – peut-être d'abord dans le dernier spasme, à présent avec la spastique agilité d'une marionnette de bois –, traçait d'autres directions dans le vide, indépendamment de la tête, du fil et de la sphère située au-dessous, les bras d'un côté, les jambes de l'autre – et j'eus la sensation que si quelqu'un avait photographié la scène avec la machine de Muybridge, bloquant net sur la plaque sensible chaque moment d'une succession spatiale, enregistrant les deux points extrêmes où venait à se trouver la tête à chaque période, les deux points d'arrêt de la sphère, les points du croisement idéal des fils, indépendants l'un de l'autre, et les points intermédiaires marqués par l'extrémité du plan d'oscillation du tronc et des jambes, Belbo pendu au Pendule, dis-je, aurait dessiné dans le vide l'arbre des sefirot, résumant dans son moment suprême l'histoire même de tous les univers, fixant dans son errance aérienne les dix étapes du souffle exsangue et de la déjection du divin dans le monde.
Puis, tandis que l'oscillateur continuait à encourager cette funèbre balançoire, par une atroce combinaison de forces, une migration d'énergies, le corps de Belbo était devenu immobile, et le fil avec la sphère se déplaçait comme un pendule de son corps à la terre seulement, le reste – qui reliait Belbo à la voûte – tombant désormais d'aplomb. Ainsi Belbo, réchappé de l'erreur du monde et de ses mouvements, était devenu lui, maintenant, le point de suspension, le Pivot Fixe, le Lieu où se soutient la voûte du monde, et sous ses pieds seulement oscillaient le fil et la sphère, de l'un a l'autre pôle, sans repos, avec la terre qui s'échappait sous eux, montrant toujours un continent nouveau – et la sphère ne savait pas indiquer, et jamais ne le saurait, où se trouvait l'Ombilic du Monde.
Alors que la meute des diaboliques, un instant ébahie devant le phénomène, se remettait à crier, je me dis que l'histoire était vraiment finie. Si Hod est la sefira de la Gloire, Belbo avait eu la gloire. Un seul geste impavide l'avait réconcilié avec l'Absolu.
– 114 –
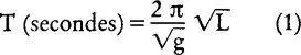
Le pendule idéal se compose d'un fil très fin, incapable de résister aux flexion et torsion, de longueur L, au centre de gravité duquel est attachée une masse. Pour la sphère, le centre de gravité est ce centre; pour un corps humain c'est un point à 0,65 m de sa hauteur, en partant des pieds. Si le pendu mesure 1,70 m, son centre de gravité est à 1,05 m de ses pieds et la longueur L comprend cette longueur. En somme, si la tête jusqu'au cou a 0,30 m de hauteur, le centre de gravité est à 1,70 - 1,05 = 0,65 m de la tête et à 0,65 - 0,30 = 0,35 m du cou du pendu.
La période de petites oscillations du pendule, déterminée par Huygens, est donnée par :
où L est en mètres, π = 3,141 5927... et g = 9,8 m/sec 2 . Il en résulte que la (1) donne :
c'est-à-dire à peu près :

NOTA BENE : T est indépendant du poids du pendu (égalité des hommes devant Dieu)...
Un double pendule avec deux masses attachées au même fil... Si tu déplaces A, A oscille et peu après c'est B qui oscille. Si les pendules accouplés ont des masses ou des longueurs différentes, l'énergie passe de l'un à l'autre mais les temps de ces oscillations de l'énergie ne sont pas égaux... Ce vagabondage de l'énergie advient même si au lieu de commencer à faire osciller A librement après l'avoir déplacé, tu continues à le déplacer périodiquement avec une force. Bref, si le vent souffle par rafales sur le pendu en anti-syntonie, peu après le pendu ne bouge plus et le pendule de Foucault oscille comme s'il était chevillé au pendu.
Extrait d'une lettre personnelle de Mario SALVADORI,
Columbia University, 1984.
Je n'avais plus rien à apprendre, dans cet endroit. Je profitai du tohu-bohu pour arriver à la statue de Gramme.
Le socle était encore ouvert. J'entrai, descendis, et au bas d'un escalier étroit je me trouvai sur un petit palier éclairé par une ampoule, sur lequel s'ouvrait un escalier à vis, en pierre. Et, arrivé à la dernière marche, je m'enfonçai dans un couloir aux voûtes plutôt hautes, faiblement éclairé. Tout d'abord, je ne sus pas où j'étais et d'où provenait le clapotement que j'entendais. Puis mes yeux s'habituèrent : je me trouvais dans un conduit des égouts, une sorte de main courante m'empêcherait de tomber dans l'eau, mais elle ne m'empêchait pas de sentir des relents dégoûtants, entre le chimique et l'organique. Quelque chose au moins était vrai, dans toute cette histoire : les égouts de Paris. Ceux de Colbert, de Fantômas, de De Caus ?
Je suivais le collecteur le plus grand, délaissant les déviations les plus sombres, et espérant que quelque signal m'aviserait où mettre un terme à ma course souterraine. En tout cas, je filais loin du Conservatoire, et, par rapport à ce royaume de la nuit, les égouts de Paris étaient le soulagement, la liberté, le bon air, la lumière.
Читать дальшеИнтервал:
Закладка:
Похожие книги на «Le pendule de Foucault»
Представляем Вашему вниманию похожие книги на «Le pendule de Foucault» списком для выбора. Мы отобрали схожую по названию и смыслу литературу в надежде предоставить читателям больше вариантов отыскать новые, интересные, ещё непрочитанные произведения.
Обсуждение, отзывы о книге «Le pendule de Foucault» и просто собственные мнения читателей. Оставьте ваши комментарии, напишите, что Вы думаете о произведении, его смысле или главных героях. Укажите что конкретно понравилось, а что нет, и почему Вы так считаете.