Patrick Muldowney - Gauge Integral Structures for Stochastic Calculus and Quantum Electrodynamics
Здесь есть возможность читать онлайн «Patrick Muldowney - Gauge Integral Structures for Stochastic Calculus and Quantum Electrodynamics» — ознакомительный отрывок электронной книги совершенно бесплатно, а после прочтения отрывка купить полную версию. В некоторых случаях можно слушать аудио, скачать через торрент в формате fb2 и присутствует краткое содержание. Жанр: unrecognised, на английском языке. Описание произведения, (предисловие) а так же отзывы посетителей доступны на портале библиотеки ЛибКат.
- Название:Gauge Integral Structures for Stochastic Calculus and Quantum Electrodynamics
- Автор:
- Жанр:
- Год:неизвестен
- ISBN:нет данных
- Рейтинг книги:3 / 5. Голосов: 1
-
Избранное:Добавить в избранное
- Отзывы:
-
Ваша оценка:
Gauge Integral Structures for Stochastic Calculus and Quantum Electrodynamics: краткое содержание, описание и аннотация
Предлагаем к чтению аннотацию, описание, краткое содержание или предисловие (зависит от того, что написал сам автор книги «Gauge Integral Structures for Stochastic Calculus and Quantum Electrodynamics»). Если вы не нашли необходимую информацию о книге — напишите в комментариях, мы постараемся отыскать её.
, left off,
introduces readers to particular problems of integration in the probability-like theory of quantum mechanics. Written as a motivational explanation of the key points of the underlying mathematical theory, and including ample illustrations of the calculus, this book relies heavily on the mathematical theory set out in the author’s previous work. That said, this work stands alone and does not require a reading of
in order to be understandable.
Gauge Integral Structures for Stochastic Calculus and Quantum Electrodynamics Stochastic calculus, including discussions of random variation, integration and probability, and stochastic processes. Field theory, including discussions of gauges for product spaces and quantum electrodynamics. Robust and thorough appendices, examples, illustrations, and introductions for each of the concepts discussed within. An introduction to basic gauge integral theory. The methods employed in this book show, for instance, that it is no longer necessary to resort to unreliable «Black Box» theory in financial calculus; that full mathematical rigor can now be combined with clarity and simplicity. Perfect for students and academics with even a passing interest in the application of the gauge integral technique pioneered by R. Henstock and J. Kurzweil,
is an illuminating and insightful exploration of the complex mathematical topics contained within.
of step function
is defined as
are random variable values of
. It is perfectly valid to combine finite numbers of random variables in this way, in order to produce, as outcome, a single random variable (—which may be a joint random variable depending on many underlying random variables).
is a fixed real number
; so, for
,
. (Accordingly, in I1,
can be regarded as a “degenerate” random variable, with atomic probability value.) Suppose the integrator is the real‐valued ds instead of the random variable‐valued
. Then 4
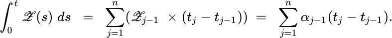
when
is a step function. The factor
equals
for each j . This emerges naturally from the mathematical meaning of the length or distance variable s , and from the mathematical meaning of
.
is a step function, or when each
is a fixed real number
? Is it the case that
, this would imply
, along with some mathematical definition of the integral
in this context.
. So, as in I1, it seems that this formulation is to be regarded as a basic postulate or axiom of stochastic integration.
:
is the random entity obtained by carrying out some form of weighted aggregation—denoted by
—of all the individual random variables
(
), then