Iris Böschen - Makroökonomik und Wirtschaftspolitik

Здесь есть возможность читать онлайн «Iris Böschen - Makroökonomik und Wirtschaftspolitik» — ознакомительный отрывок электронной книги совершенно бесплатно, а после прочтения отрывка купить полную версию. В некоторых случаях можно слушать аудио, скачать через торрент в формате fb2 и присутствует краткое содержание. Жанр: unrecognised, на немецком языке. Описание произведения, (предисловие) а так же отзывы посетителей доступны на портале библиотеки ЛибКат.

Makroökonomik und Wirtschaftspolitik: краткое содержание, описание и аннотация

Предлагаем к чтению аннотацию, описание, краткое содержание или предисловие (зависит от того, что написал сам автор книги «Makroökonomik und Wirtschaftspolitik»). Если вы не нашли необходимую информацию о книге — напишите в комментариях, мы постараемся отыскать её.

Aktuelle Wirtschaftspolitik und Makroökonomie verstehen
Wie hat sich die deutsche Volkswirtschaft seit der Weltwirtschaftskrise 2009 entwickelt? Iris Böschen erläutert in diesem Lehrbuch die makroökonomischen Entwicklungen der letzten Jahre und vermittelt vor dem Hintergrund aktueller wirtschaftspolitischer Entscheidungen makroökonomische und wirtschaftspolitische Zusammenhänge.

Makroökonomik und Wirtschaftspolitik — читать онлайн ознакомительный отрывок

Ниже представлен текст книги, разбитый по страницам. Система сохранения места последней прочитанной страницы, позволяет с удобством читать онлайн бесплатно книгу «Makroökonomik und Wirtschaftspolitik», без необходимости каждый раз заново искать на чём Вы остановились. Поставьте закладку, и сможете в любой момент перейти на страницу, на которой закончили чтение.

Тёмная тема
Сбросить

Интервал:

Закладка:

Сделать

Wirtschaftliches Wachstum liegt vor, wenn das reale BIP steigt.[1] Anders gewendet: Nimmt die gesamtwirtschaftliche Produktion zu, so ist das Leistungsvermögen einer Volkswirtschaft gestiegen. Dieses Leistungsvermögen, d.h. die Arbeitskräfte, das Kapital und der Boden, muss nicht zwangsläufig, kann aber von den Unternehmen vollständig genutzt werden. In der grafischen Darstellung verschiebt sich die sogenannte Transformationskurve T, wenn ein Modell zur Veranschaulichung herangezogen wird, das nur den Input von Kapital K und Arbeit A berücksichtigt. Wenn wir ein Input-Output-Diagramm zur Darstellung nutzen, dreht sich die Produktionsfunktion Y nach außen.

Abbildung 2 Stilisierte Produktionsfunktion f Y und Transformationskurve T - фото 3 Abbildung 2:

Stilisierte Produktionsfunktion f (Y) und Transformationskurve T (Quelle: Eigene Darstellung).

In der linken Grafik der Abbildung 2 wird verdeutlicht, dass in der Theorie der Output Y (abgetragen auf der senkrechten Ordinate) vom Einsatz der Produktionsfaktoren Kapital K und Arbeit A (abgetragen auf der waagerechten Abszisse) abhängt.[2]

|10|Die hier gewählte ertragsgesetzliche Produktionsfunktion

f (Y) = f (K; A)

zeigt, dass bei relativ geringem Einsatz von K und A der Output Y zunächst langsam zunimmt, um dann ab einem bestimmten Punkt überproportional stark zu steigen und schließlich bei einer weiteren Ausdehnung des Faktoreinsatzes weniger stark weiter zu wachsen. Dieser Verlauf hängt mit den zunächst steigenden und schließlich abnehmenden Grenzproduktivitäten der eingesetzten Produktionsfaktoren zusammen. So ist vorstellbar, dass bei der Produktion an einem Fließband zunächst wenige Arbeitskräfte aktiv sind und der Output deshalb zu Beginn relativ gering ist. Werden mehr Arbeitskräfte eingesetzt, beispielsweise weitere Arbeitsplätze am vorhandenen Fließband eingerichtet, kann der Output stärker ausgeweitet werden. Stehen allerdings so viele Personen am Fließband, dass sie sich gegenseitig behindern, geht der zusätzliche Output zurück. Ein weiteres Fließband müsste eingerichtet werden.

Das Produktionspotenzial würde dann erweitert werden. Eine derartige Investition nennen wir Erweiterungsinvestition. Dem gegenüber steht die Instandhaltungsinvestition, die nicht zu einer Erhöhung der Produktionsmöglichkeiten und damit nicht zu wirtschaftlichem Wachstum führt. Wirtschaftliches Wachstum wird auch dadurch möglich, dass mit in der Summe gleichem Faktoreinsatz – z.B. aufgrund einer technologischen Innovation: am Fließband ersetzen Roboter Personen – der Produktionsprozess produktiver wird. Es kann mehr Output produziert werden. Die Produktionsfunktion dreht sich nach außen.

In der rechten Grafik der Abbildung 2 wird dargestellt, dass je nach Einsatzmengen von Kapital (Ordinate) und Arbeit (Abszisse) entlang der sogenannten Transformationskurve der maximale Output Y produziert werden kann. Die Transformationskurve zeigt verschiedene Kombinationsmöglichkeiten der Produktionsfaktoren an, die jeweils zum gleichen Output führen. Erst eine Produktivitätserhöhung – z.B. des Faktors Arbeit durch die Optimierung des Fertigungsprozesses beispielsweise im Wege der Arbeitsteilung – erlaubt, dass bei konstantem Faktoreinsatz ein höheres Outputniveau realisiert werden kann. Die Transformationskurve verschiebt sich nach außen und spiegelt ein höheres Outputniveau wider, das in der Volkswirtschaft erreicht werden kann. Eine Verschiebung der Transformationskurve oder eine Drehung der Produktionsfunktion nach außen soll verdeutlichen, dass die Volkswirtschaft wächst.

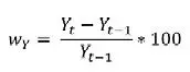
Als Maß für das Wirtschaftswachstum wird die Wachstumsrate w des BIPs, des Outputs Y, in einem bestimmten Zeitraum herangezogen. Die zeitliche Perspektive ist hierbei langfristig.[3] Analytisch formuliert bedeutet dies:

11Die Veränderung des BIPs w Yergibt sich aus dem Quotienten der Differenz - фото 4

|11|Die Veränderung des BIPs w Yergibt sich aus dem Quotienten der Differenz des BIP Y tin der Periode t, z.B. 2015, und dem BIP Y t-1in der Vorperiode t-1, z.B. 2014, geteilt durch das BIP der Vorperiode t-1, also 2014, multipliziert mit 100. Das Ergebnis ist ein Prozentwert. Ist w Y> 0, dann ist die Wachstumsrate des BIP positiv. In der Volkswirtschaft wurden 2015 im Vergleich zum Vorjahr mehr Güter und Dienstleistungen produziert.

Mit wirtschaftlichem Wachstum ist eine höhere Güterversorgung der Wirtschaftssubjekte, d.h. der Bevölkerung, verbunden. Dies ist jedoch nur dann der Fall, wenn die Güterproduktion schneller zunimmt als die Bevölkerung. Wenn der demografische Aspekt berücksichtigt werden soll, ist das BIP pro Kopf zu ermitteln. Um die Veränderungsrate des BIP pro Kopf zu berechnen, wird Y durch die Einwohneranzahl Ew der Volkswirtschaft geteilt und mit der Vorperiode verglichen, wie in obiger Gleichung, oder es können die Wachstumsraten der Einfachheit halber voneinander abgezogen werden.[4]

Makroökonomik und Wirtschaftspolitik - изображение 5

Das BIP und dessen Wachstum wird gemeinhin als Indikator für den Wohlstand der Bevölkerung eines Landes herangezogen, obschon es eine Reihe von Mängeln dieses Indikators zu beklagen gibt (Miegel 2012). Andererseits fällt es schwer, ein besseres Maß zu finden (Enquete-Kommission 2013). Als Mängel können u.a. folgende Aspekte konstatiert werden:

Nachbarschaftshilfe, Haushaltstätigkeiten und ehrenamtliche Aktivitäten fließen nicht in die Berechnung des BIP ein.

Die Wertschöpfung des informellen Sektors (z.B. Schwarzarbeit) kann nicht berücksichtigt werden.

Durch die wirtschaftlichen Tätigkeiten entstehende Umweltschäden, die Kosten für deren Beseitigung und die ‚Wiedergutmachung‘ werden nicht von der konstruktiven Wertschöpfung, die mit dem BIP gemessen wird, abgezogen.[5]

Die Möglichkeit, mehr Freizeit und damit einen höheren Wohlstand zu genießen, kann darüber hinaus nicht aufgenommen werden.

Würde man diese Aspekte bei der Analyse und Beurteilung der Wirtschaftskraft eines Landes, einer Region, eines Bundeslandes, einer Kommune einbeziehen, dürfte eine sinnvollere Bewertung des Wohlstandsniveaus der Bevölkerung möglich sein.

1.3 Prognose des wirtschaftlichen Wachstums

Mithilfe der Wachstumsprognose soll ein langfristiger Trend der wirtschaftlichen Entwicklung bestimmt werden. Informationen darüber helfen den Unternehmen, ihren Einkauf, ihre Produktion sowie ihre Investitionstätigkeit zu planen. Zur Bestimmung |12|eines Wachstumstrends wird nach in der Vergangenheit aufgetretenen Regelmäßigkeiten Ausschau gehalten. Diese Regelmäßigkeiten in der Vergangenheit können mit statistischen Methoden z.B. der Regressionsberechnung in einem Trend abgebildet werden. Wird der Trend in die Zukunft fortgeschrieben, so ist dieses Verfahren der Extrapolation eine Methode zur Prognose wirtschaftlichen Wachstums.

Im Zentrum der Wachstumsprognose steht die gesamtwirtschaftliche Angebotsseite: das Produktionspotenzial der Unternehmen. Nimmt man an, dass das Produktionspotenzial in der Vergangenheit im Durchschnitt normal ausgelastet war, so verhilft eine Extrapolation der Zeitreihe des BIPs zu einer Prognose des wirtschaftlichen Wachstums. Um eine höhere Prognosegenauigkeit zu erreichen, können einzelne Produktionsfaktoren wie das Kapital, die Arbeit, der technische Fortschritt in die Analyse einbezogen werden. Daten zu diesen Einzelaspekten sind die Arbeitsproduktivität, die Kapitalintensität etc. Neben diesen sogenannten stilisierten Fakten sollen theoretische Ansätze u.a. der Prognose von wirtschaftlichem Wachstum dienen. Zwei Ansätze werden in Abschnitt 1.3.2 kurz dargestellt. Und schließlich verhelfen empirische Ansätze analog zu den stilisierten Fakten zu Aussagen über die künftige Entwicklung einer Volkswirtschaft (vgl. zu den folgenden Ausführungen Böschen 2015).

Читать дальше
Тёмная тема
Сбросить

Интервал:

Закладка:

Сделать

Похожие книги на «Makroökonomik und Wirtschaftspolitik»

Представляем Вашему вниманию похожие книги на «Makroökonomik und Wirtschaftspolitik» списком для выбора. Мы отобрали схожую по названию и смыслу литературу в надежде предоставить читателям больше вариантов отыскать новые, интересные, ещё непрочитанные произведения.


Отзывы о книге «Makroökonomik und Wirtschaftspolitik»

Обсуждение, отзывы о книге «Makroökonomik und Wirtschaftspolitik» и просто собственные мнения читателей. Оставьте ваши комментарии, напишите, что Вы думаете о произведении, его смысле или главных героях. Укажите что конкретно понравилось, а что нет, и почему Вы так считаете.

x