
В равновесии эти силы балансируются полной силой F внутр, действующей по поверхности А со стороны окружающего материала. Когда же этот кусочек не находится в равновесии, а движется, сумма внутренних и внешних сил будет равна произведению массы на ускорение. При этом мы получаем

где r—плотность материала, а а— его ускорение. Теперь мы можем скомбинировать уравнения (39.23) и (39.24) и написать

Нашу запись можно упростить, положив

Тогда уравнение (39.25) запишется в виде

Величина, названная нами F внутр, связана с напряжениями в материале. Тензор напряжений S ij был определен нами в гл. 31 таким образом, что x-компонента силы dF , действующей на элемент поверхности da с нормалью n, задается выражением

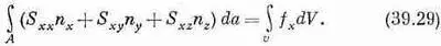
Отсюда х-компонента силы F внутр, действующей на наш кусочек, равна интегралу от dF x по всей поверхности. Подставляя это в x-компоненту уравнения (39.27), получаем

Оказалось, что поверхностный интеграл связан с интегралом по объему, а это напоминает нам нечто знакомое по главам об электричестве. Заметьте, что если не обращать внимания на первый значок х в каждом из S в левой части (39.29), то она выглядит в точности как интеграл от величины (S·n), т.е. нормальной компоненты вектора по поверхности. Она была бы равна потоку S через объем. А используя теорему Гаусса, поток можно было бы записать в виде объемного интеграла от дивергенции S. На самом деле все это справедливо независимо от того, есть ли у нас индекс х или нет. Это просто математическая теорема, которая доказывается интегрированием по частям. Другими словами, уравнение (39.29) можно превратить в

Теперь можно отбросить интегралы по объему и написать дифференциальное уравнение для любой компоненты f:

Оно говорит нам, как связана сила, действующая на единицу объема с тензором напряжения S ij .
Вот как работает эта теория внутренних движений твердого тела. Если первоначально нам известны перемещения, задаваемые, скажем, вектором и, то можно найти деформации e ij . Из деформаций с помощью уравнения (39.12) можно получить напряжения. Затем с помощью уравнения (39.31) мы из напряжений можем найти плотности сил f. А зная f, мы из уравнения (39.26) получаем ускорение rв материале, которое подскажет нам, как изменятся перемещения. Собирая все это вместе, мы получаем ужасно сложные уравнения движения упругого твердого тела. Я просто напишу вам ответ для изотропного материала. Если вы воспользуетесь для S ij уравнением (39.20) и запишете e ij в виде 1/ 2 (du i /dx j +du j ]dx i ), то окончательно получите векторное уравнение:

Вы можете очень просто убедиться в том, что уравнение должно иметь такую форму. Сила должна зависеть от второй производной — перемещения и. Но какие можно составить вторые производные и так, чтобы они были векторами? Одна из них С (С·u); это самый настоящий вектор. Есть еще только одна такая комбинация — это С 2u. Так что наиболее общей формой силы будет
Читать дальше