
(20.11)
Все наши электромагнитные поля подчиняются одному и тому же уравнению (20.8). Можно еще спросить: каково самое общее решение этого уравнения? Однако прежде, чем решать этот трудный вопрос, сначала посмотрим, что можно сказать в общем случае о тех решениях, в которых по у и по z ничего не меняется. (Всегда сначала беритесь за простые случаи, чтобы было видно, чего следует ожидать, а уж потом можете переходить к случаям посложней.) Предположим, что величина полей зависит только от х, так что по у и по z поля не меняются. Мы, следовательно, опять рассматриваем плоские волны и должны ожидать, что получатся те же результаты, что и в предыдущей главе. И мы действительно получим в точности те же самые ответы. Вы можете спросить: «Но зачем снова делать то же самое?» Это важно, во-первых, потому, что мы не доказали, что найденные нами волны представляют собой самое общее решение для плоских волн, и, во-вторых, потому что наши поля произошли от источника тока особого вида. Сейчас мы хотели бы выяснить такой вопрос: каков самый общий вид одномерной волны в пустом пространстве? Мы не узнаем этого, если будем рассматривать тот или иной источник особого вида, нам нужна большая общность. Кроме того, на этот раз мы будем работать не с интегральной формой уравнений, а с дифференциальной. Хотя итог одинаков, это прекрасный случай поупражняться в выкладках и убедиться в том, что не имеет значения, каким путем идти. Вы должны уметь действовать любым путем, потому что, наткнувшись на трудную задачу, вы часто обнаруживаете, что годится лишь один из многих способов расчета.

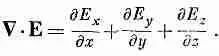
Можно было бы прямо рассмотреть решение волнового уравнения для какой-нибудь из электромагнитных величин. Вместо этого мы начнем прямо с начала, с уравнений Максвелла для пустого пространства, и вы убедитесь в их тесной связи с электромагнитными волнами. Так что мы отправляемся от уравнений (20.1), полагая, что в них токи и заряды равны нулю. Они обращаются в
(20.12)

Распишем первое уравнение покомпонентно:
(20.13)
Мы предположили, что по у и z поле не меняется, так что два последних члена равны нулю. Тогда, согласно (20.13),

(20.14)
Решением его является постоянное в пространстве Е х (компонента электрического поля в направлении х). Взглянув на уравнение IV в (20.12) и полагая, что В тоже не изменяется вдоль y и z, вы убедитесь, что Е х постоянно и во времени. Таким полем может оказаться постоянное поле от какого-то заряженного конденсатора вдали от этого конденсатора. Нас сейчас не занимают такие неинтересные статические поля; мы интересуемся лишь динамически изменчивыми полями. А для динамических полей Е х =0.
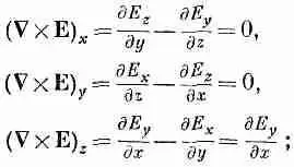
Итак, мы пришли к важному результату о том, что при распространении плоских волн в произвольном направлении электрическое поле должно располагаться поперек направления своего распространения. Конечно, у него еще остается возможность каким-то сложным образом изменяться по координате х.
Поперечное поле Е можно всегда разбить на две компоненты, скажем на у и z . Так что сначала разберем случай наличия у электрического ноля только одной поперечной компоненты. Для начала возьмем электрическое поле, направленное по у, т. е. с нулевой z-компонентой. Ясно, что, решив эту задачу, мы всегда сможем разобрать и тот случай, когда электрическое поле всюду направлено по z. Общее решение можно всегда представить в виде суперпозиции двух таких полей.
Какими простыми стали теперь наши уравнения! Теперь единственная ненулевая компонента электрического поля — это Е у , и все производные (кроме производных по х) тоже равны нулю. Остатки уравнений Максвелла выглядят чрезвычайно просто.

Рассмотрим теперь второе из уравнений Максвелла [т. е. II из (20.12)]. Расписав компоненты rot E, получаем
Читать дальше