
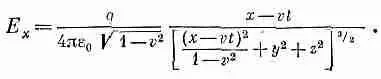
(26.4)

А затем продифференцируем А х по t :
(26.5)
И, наконец, складывая их, получаем

(26.6)

Бросим на минуту заниматься полем Е, а сначала найдем В. Для его z-компоненты мы имеем
Но, поскольку А y равна нулю, у нас остается только одна производная. Заметьте, однако, что А х просто равна vj, а производная ( d / dy ) v j равна — vE y . Так что

(26.7)
Аналогично,


или
(26.8)
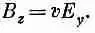
Наконец, компонента В х равна нулю, поскольку равны нулю и А у и А г . Таким образом, магнитное поле можно записать в виде

(26.9)

Теперь посмотрим, как выглядят наши поля. Мы попытаемся нарисовать картину поля вокруг положения заряда в настоящий момент. Конечно, влияние заряда в каком-то смысле происходит из запаздывающего положения, но, поскольку мы имеем дело со строго заданным движением, запаздывающее положение однозначно определяется положением в настоящий момент. При постоянной скорости заряда поля лучше связывать с текущими координатами, ибо компоненты поля в точке х, у, z зависят только от (х - vt ), у и z, которые являются компонентами вектора перемещения r p из постоянного положения заряда в точку (х, у, z ) (фиг. 26.3).
Фиг. 26.3. Электрическое поле заряда, движущегося с постоянной скоростью, направлено по радиусу от истинного положения заряда.
Рассмотрим сначала точки, для которых z= 0. Поле Е в этих точках имеет только х- и y-компоненты. Из уравнений (26.3) и (26.6) видно, что отношение этих компонент как раз равно отношению х- и y-компонент вектора перемещения. Это означает, что направление Е совпадает с направлением r p , как это показано на фиг. 26.3. Тот же результат остается справедливым и для трех измерений, поскольку E z пропорционально z. Короче говоря, электрическое поле заряда радиально и силовые линии расходятся от заряда так же, как и в стационарном случае. Конечно, вследствие наличия дополнительного фактора (1-v 2 ) поле не будет тем же самым, что в стационарном случае. Но здесь мы можем увидеть нечто очень интересное. Дело обстоит так, как будто вы пишете закон Кулона в особой системе координат, «сжатой» вдоль оси x множителем Ц(1-v 2) Если вы сделаете это, то силовые линии впереди и позади заряда разойдутся, а по бокам сгустятся (фиг. 26.4).
Если мы связываем обычным образом напряженность поля Е с плотностью силовых линий, то видим, что поле впереди и позади заряда ослабевает, но зато по бокам становится сильнее, т. е. как раз то, о чем говорит нам уравнение. Когда вы измеряете напряженность поля под прямыми углами к линии движения, т. е. при (x - vt ) = 0, расстояние от заряда будет равно y 2+z 2, а полная напряженность Ц( E 2 x + E 2 y ) в этих точках равна

(26.10)
Она, как и в случае кулонова поля, пропорциональна квадрату расстояния, но еще усиливается постоянным множителем 1/Ц(1-v 2), который всегда больше единицы. Таким образом, по бокам движущегося заряда электрическое поле сильнее, чем это следует из закона Кулона. Фактически увеличение по сравнению с кулоновым потенциалом равно отношению энергии частицы к ее массе покоя.

Впереди заряда (или позади него) у и z равны нулю, а поэтому
(26.11)
Читать дальше