Rafael Riddell C. - Diseño estructural

Здесь есть возможность читать онлайн «Rafael Riddell C. - Diseño estructural» — ознакомительный отрывок электронной книги совершенно бесплатно, а после прочтения отрывка купить полную версию. В некоторых случаях можно слушать аудио, скачать через торрент в формате fb2 и присутствует краткое содержание. Жанр: unrecognised, на испанском языке. Описание произведения, (предисловие) а так же отзывы посетителей доступны на портале библиотеки ЛибКат.

Diseño estructural: краткое содержание, описание и аннотация

Предлагаем к чтению аннотацию, описание, краткое содержание или предисловие (зависит от того, что написал сам автор книги «Diseño estructural»). Если вы не нашли необходимую информацию о книге — напишите в комментариях, мы постараемся отыскать её.

El propósito de este libro es entregar una visión global del problema del diseño estructural. Para ello se presenta un amplio conjunto de casos de diseño, considerando diferentes tipos de esfuerzos internos o condiciones de estabilidad, distintos materiales estructurales, incluyendo tanto sus rangos de comportamiento elástico como inelástico y los dos modelos básicos de diseño: el método de las tensiones admisibles y el diseño por resistencia.El texto esta dirigido a alumnos en una etapa introductoria del aprendizaje, por ello el énfasis se centra en los conceptos fundamentales, sin abundar en aspectos normativos de detalle de cada material, temas en los que se profundizará posteriormente en cursos específicos en hormigón armado, acero y madera.

Diseño estructural — читать онлайн ознакомительный отрывок

Ниже представлен текст книги, разбитый по страницам. Система сохранения места последней прочитанной страницы, позволяет с удобством читать онлайн бесплатно книгу «Diseño estructural», без необходимости каждый раз заново искать на чём Вы остановились. Поставьте закладку, и сможете в любой момент перейти на страницу, на которой закончили чтение.

Тёмная тема
Сбросить

Интервал:

Закладка:

Сделать
Ejemplo 11 Sea una columna sometida a una carga axial de 40 toneladas - фото 39

Ejemplo 1.1

Sea una columna sometida a una carga axial de 40 toneladas correspondiente al peso propio de la estructura que soporta, con coeficiente de variación estimado en un 10 %, más una sobrecarga de 60 toneladas con coeficiente de variación estimado en un 25%. La columna se ha diseñado de manera que su resistencia última de compresión es el triple de la carga de servicio total. Asumiendo que el coeficiente de variación de la resistencia es de un 15 %, y que todas las variables son gaussianas y estadísticamente independientes, calcular la probabilidad de colapso de la columna utilizando la formulación conocida por margen de seguridad.

Solución:La carga total S = PP + SC es también gaussiana porque PP y SC lo son, por lo tanto:

La resistencia última nominal es μ R 300 toneladas con σ R 015300 45 - фото 40 La resistencia última nominal es μ R 300 toneladas con σ R 015300 45 - фото 41

La resistencia última nominal es μ R= 300 toneladas con σ R= (0,15)(300) = 45 toneladas como desviación estándar. La probabilidad de falla según la Ec. 1-21 es:

Ejemplo 1.2

Una viga de acero simplemente apoyada de 9 metros de luz (perfil IN 35x53) soporta una carga uniformemente distribuida de intensidad media картинка 42= 2 ton/m y coeficiente de variación Ω q= 15 %. El material de la viga tiene una tensión de fluencia media картинка 43 y= 4000 kg/cm 2y COV Ωσ y= 20 %. Suponiendo que q y σ ytienen distribución log-normal, determinar:

a) La probabilidad de falla, definida la falla como el evento de alcanzar o exceder la resistencia límite de fluencia.

b) La tensión admisible de flexión o el factor de seguridad central requerido para limitar a 1/1000 la probabilidad de falla.

Solución:a) El valor medio del momento flector máximo es:

Como q es lognormal M también lo es La tensión máxima de flexión en una - фото 44

Como q es log-normal, M también lo es. La tensión máxima de flexión en una sección simétrica está dada por:

en que W es el módulo resistente de la sección variable supuesta - фото 45

en que W es el módulo resistente de la sección, variable supuesta determinística. Por ser M log-normal, σ es log-normal. El perfil dado tiene W = 883 cm 3, luego:

y Definiendo la función rendimiento conforme a la formulación factor de - фото 46

y:

Definiendo la función rendimiento conforme a la formulación factor de - фото 47

Definiendo la función rendimiento conforme a la formulación “factor de seguridad”:

que tiene distribución normal ver Ec 125 la probabilidad buscada es - фото 48

que tiene distribución normal (ver Ec. 1-25); la probabilidad buscada es:

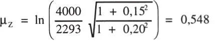
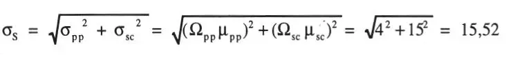
Utilizando las Ecs 127 y 128 se obtienen la media μ zy la desviación - фото 49

Utilizando las Ecs. 1-27 y 1-28 se obtienen la media μ zy la desviación standard σz:

Diseño estructural - фото 50 Diseño estructural - изображение 51 Diseño estructural - изображение 52 Diseño estructural - изображение 53

Entonces, según la Ec. 1-29, y de la Tabla P.1 se obtiene:

b Se desea p F 0001 o sea usando ahora la Ec 130 se obtiene - фото 54

b) Se desea p F= 0,001, o sea, usando ahora la Ec. 1-30 se obtiene:

El cuociente del primer miembro de la ecuación anterior corresp - фото 55 El cuociente del primer miembro de la ecuación anterior corresponde al factor - фото 56 El cuociente del primer miembro de la ecuación anterior corresponde al factor - фото 57

El cuociente del primer miembro de la ecuación anterior corresponde al factor de seguridad central, luego en este caso:

y la tensión admisible correspondiente a este factor de seguridad es 113 - фото 58

y la tensión admisible correspondiente a este factor de seguridad es:

113 Criterios de Diseño para Seguridad Dado el estado del arte actual las - фото 59

1.1.3 Criterios de Diseño para Seguridad

Dado el estado del arte actual, las normas de diseño están planteadas en términos determinísticos. Independientemente de que ciertos modelos probabilísticos han sido utilizados para definir la intensidad de las cargas, el enfoque es deterministico porque no se requiere hacer un análisis de confiabilidad estructural, es decir, evaluar la seguridad de un diseño (elemento o estructura completa) en términos de probabilidades. La situación actual resulta en diseños que no son consistentes con un nivel uniforme de seguridad, en el sentido que ciertos elementos pueden resultar diseñados en condiciones considerablemente más conservadoras, o inversamente más inseguras, que otros. Solamente un enfoque global probabilístico, tanto en los métodos de análisis con variables aleatorias, como en la consideración de las resistencias (incluyendo las incertidumbres implícitas en las propiedades de los materiales, diseño y construcción), puede conducir a un enfoque racional global. Este tipo de enfoque es por el momento parte del futuro.

En términos generales puede decirse que las normas enfocan el problema de seguridad según dos filosofías o criterios diferentes de diseño: el método de diseño elástico o de tensiones admisibles y el método de diseño a la rotura o de capacidad última.

a) Diseño Elástico o de Tensiones Admisibles

Este criterio establece que para las cargas de trabajo ningún punto de la estructura puede tener una tensión superior a un valor admisible” que garantice que la estructura se mantenga en el rango elástico.

Читать дальше
Тёмная тема
Сбросить

Интервал:

Закладка:

Сделать

Похожие книги на «Diseño estructural»

Представляем Вашему вниманию похожие книги на «Diseño estructural» списком для выбора. Мы отобрали схожую по названию и смыслу литературу в надежде предоставить читателям больше вариантов отыскать новые, интересные, ещё непрочитанные произведения.


Отзывы о книге «Diseño estructural»

Обсуждение, отзывы о книге «Diseño estructural» и просто собственные мнения читателей. Оставьте ваши комментарии, напишите, что Вы думаете о произведении, его смысле или главных героях. Укажите что конкретно понравилось, а что нет, и почему Вы так считаете.

x