Daniel J. Denis - Applied Univariate, Bivariate, and Multivariate Statistics

Здесь есть возможность читать онлайн «Daniel J. Denis - Applied Univariate, Bivariate, and Multivariate Statistics» — ознакомительный отрывок электронной книги совершенно бесплатно, а после прочтения отрывка купить полную версию. В некоторых случаях можно слушать аудио, скачать через торрент в формате fb2 и присутствует краткое содержание. Жанр: unrecognised, на английском языке. Описание произведения, (предисловие) а так же отзывы посетителей доступны на портале библиотеки ЛибКат.

Applied Univariate, Bivariate, and Multivariate Statistics: краткое содержание, описание и аннотация

Предлагаем к чтению аннотацию, описание, краткое содержание или предисловие (зависит от того, что написал сам автор книги «Applied Univariate, Bivariate, and Multivariate Statistics»). Если вы не нашли необходимую информацию о книге — напишите в комментариях, мы постараемся отыскать её.

AN UPDATED GUIDE TO STATISTICAL MODELING TECHNIQUES USED IN THE SOCIAL AND BEHAVIORAL SCIENCES The revised and updated second edition of
contains an accessible introduction to statistical modeling techniques commonly used in the social and behavioral sciences. The text offers a blend of statistical theory and methodology and reviews both the technical and theoretical aspects of good data analysis.
Featuring applied resources at various levels, the book includes statistical techniques using software packages such as R and SPSS®. To promote a more in-depth interpretation of statistical techniques across the sciences, the book surveys some of the technical arguments underlying formulas and equations. The thoroughly updated edition includes new chapters on nonparametric statistics and multidimensional scaling, and expanded coverage of time series models. The second edition has been designed to be more approachable by minimizing theoretical or technical jargon and maximizing conceptual understanding with easy-to-apply software examples. This important text:
Offers demonstrations of statistical techniques using software packages such as R and SPSS® Contains examples of hypothetical and real data with statistical analyses Provides historical and philosophical insights into many of the techniques used in modern social science Includes a companion website that includes further instructional details, additional data sets, solutions to selected exercises, and multiple programming options Written for students of social and applied sciences,
offers a text to statistical modeling techniques used in social and behavioral sciences.

Applied Univariate, Bivariate, and Multivariate Statistics — читать онлайн ознакомительный отрывок

Ниже представлен текст книги, разбитый по страницам. Система сохранения места последней прочитанной страницы, позволяет с удобством читать онлайн бесплатно книгу «Applied Univariate, Bivariate, and Multivariate Statistics», без необходимости каждый раз заново искать на чём Вы остановились. Поставьте закладку, и сможете в любой момент перейти на страницу, на которой закончили чтение.

Тёмная тема
Сбросить

Интервал:

Закладка:

Сделать

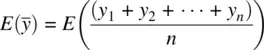
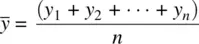
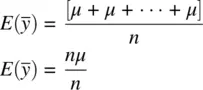
To understand why should be true consider first how the sample mean is defined Incorporating - фото 99should be true, consider first how the sample mean is defined:

Incorporating this into the expectation for we have There i - фото 100

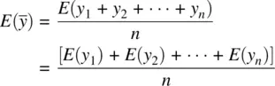
Incorporating this into the expectation for we have There is a rule of expectations that says that the expectation of - фото 101, we have:

There is a rule of expectations that says that the expectation of the sum of - фото 102

There is a rule of expectations that says that the expectation of the sum of random variables is equal to the sum of individual expectations. This being the case, we can write the expectation of the sample mean as Since the expectation of each y 1through y nis E y 1 μ E y 2 μ - фото 103as:

Since the expectation of each y 1through y nis E y 1 μ E y 2 μ - фото 104

Since the expectation of each y 1through y nis E ( y 1) = μ , E ( y 2) = μ , … E ( y n) = μ , we can write

We note that the n values in numerator and denominator cancel and so we end up - фото 105

We note that the n values in numerator and denominator cancel, and so we end up with

картинка 106

Using the fact that E ( y i) = μ , we can also say that the expected value of a sampling distribution of the mean is equal to the mean of the population from which we did the theoretical sampling. That is, Applied Univariate Bivariate and Multivariate Statistics - изображение 107is true, since given Applied Univariate Bivariate and Multivariate Statistics - изображение 108, it stands that if we have say, five sample means Applied Univariate Bivariate and Multivariate Statistics - изображение 109, the expectation of each of these means should be equal to μ , from which we can easily deduce картинка 110. That is, the mean of all the samples we could draw is equal to the population mean.

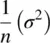
We now need a measure of the dispersionof a sampling distribution of the mean. At first glance, it may seem reasonable to assume that the variance of the sampling distribution of means should equal the variance of the population from which the sample means were drawn. However, this is not the case. What is true is that the variance of the sampling distribution of means will be equal to only a fractionof the population variance. It will be equal to картинка 111of it, where n is equal to the size of samples we are collecting for each sample mean. Hence, the variance of means of the sampling distribution is equal to

картинка 112

or simply,

картинка 113

The mathematical proof of this statistical fact is in most mathematical statistics texts. A version of the proof can also be found in Hays (1994). The idea, however, can be easily and perhaps even more intuitively understood by recourse to what happens as n changes. We consider first the most trivial and unrealistic of examples to strongly demonstrate the point. Suppose that we calculate the sample mean from a sample size of n = 1, sampled from a population with μ = 10.0 and σ 2= 2.0. Suppose the sample mean we obtain is equal to 4.0. Therefore, the sampling variance of the corresponding sampling distribution is equal to:

Applied Univariate Bivariate and Multivariate Statistics - изображение 114

That is, the variance in means that you can expect to see if you sampled an infinite number of means based on samples of size n = 1 repeatedly from this population is equal to 2. Notice that 2 is exactly equal to the original population variance. In this case, the variance in means is based on only a single data point.

Consider now the case where n > 1. Suppose we now sampled a mean from the population based on sample size n = 2, yielding

Applied Univariate Bivariate and Multivariate Statistics - изображение 115

What has happened? What has happened is that the variance in sample means has decreased by 1/2 of the original population variance (i.e., 1/2 of 2 is 1). Why is this decrease reasonable? It makes sense, because we already know from the law of large numbersthat as the sample size grows larger, one gets closer and closer to the true probability in estimating a parameter. That is, for a consistent estimator, our estimate of the true population mean (i.e., the expectation) should get better and better as sample size increases. This is exactly what happens as we increase n , our precisionof that which is being estimated increases. In other words, the sampling variance of the estimator decreases. It's less variable, it doesn't “bounce around as much” on average from sample to sample.

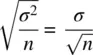
Analogous to how we defined the standard deviation as the square root of the variance, it is also useful to take the square root of the variance of means:

Applied Univariate Bivariate and Multivariate Statistics - изображение 116

which we call the standard error of the mean, σ M. The standard error of the mean is the standard deviation of the sampling distribution of the mean. Lastly, it is important to recognize that картинка 117is not “the” standard error. It is merely the standard error of the mean. Other statistics will have different SEs.

2.12 CENTRAL LIMIT THEOREM

It is not an exaggeration to say that the central limit theorem, in one form or another, is probably the most important and relevant theorem in theoretical statistics, which translates to it being quite relevant to applied statistics as well.

Читать дальше
Тёмная тема
Сбросить

Интервал:

Закладка:

Сделать

Похожие книги на «Applied Univariate, Bivariate, and Multivariate Statistics»

Представляем Вашему вниманию похожие книги на «Applied Univariate, Bivariate, and Multivariate Statistics» списком для выбора. Мы отобрали схожую по названию и смыслу литературу в надежде предоставить читателям больше вариантов отыскать новые, интересные, ещё непрочитанные произведения.


Отзывы о книге «Applied Univariate, Bivariate, and Multivariate Statistics»

Обсуждение, отзывы о книге «Applied Univariate, Bivariate, and Multivariate Statistics» и просто собственные мнения читателей. Оставьте ваши комментарии, напишите, что Вы думаете о произведении, его смысле или главных героях. Укажите что конкретно понравилось, а что нет, и почему Вы так считаете.