Keywords : Wave velocity estimate, elastic waves, the coefficients of elasticity, rock physics, reservoir conditions, Gassman relations, Greenberg – Castagna theory, injecting carbon dioxide, sandstone
Study of propagation of shear and compressional waves give useful information and constitutional characteristics of hydrocarbon reservoirs, such as lithology and pore fluid type. This information is very important for reservoir development and recovery, and especially for future decision making. On the other hand, the behavior of reservoir rocks geomechanics, play an important role in the design and implementation of drilling, production planning and sustainability of oil and gas wells.
Having physical geology information such as density, porosity, compressional and shear wave velocities are required to successfully perform the above-mentioned projects. This is usually the case that the information about shear wave velocity is not readily available compared with other data. Therefore, theoretical or experimental approaches are necessary to estimate this velocity.
In geomechanical evaluation of hydrocarbon reservoirs, several methods can be used to estimate shear wave velocity and elastic constants. Conventional methods for estimating the shear wave velocity can be divided into five categories which are [1–3]: laboratory measurements, direct measurements, empirical relationships, the regression method and the intelligent method ( Figure 2.1).
Figure 2.1 Common methods for estimating the shear wave velocity.
Each of these methods has its own unique advantages that make it suitable to estimate the shear wave velocity. The dependency of wave propagation velocity to lithology, porosity, temperature, pressure and type of pore fluid, has introduced a variety of investigation methods in geophysics and rock physics.
Laboratory measurement of shear wave velocity in a core is known as a standard procedure and the obtained velocities are comparable with that of the other methods. There are other field methods to estimate shear wave velocity such as Dipole Shear Sonic Imager and sonic logs. Although these methods are common, they must be performed in a large number of wells to obtain the velocity distribution in the entire field, and core extraction or running of sonic tools in a large field is very expensive [4]. Another common method to estimate the shear wave velocity is based on theoretical evaluation and modeling. In the past few decades, several empirical formulas have been introduced for estimating the shear wave velocity in rocks with different lithology, based on physical parameters of rock, especially the P-wave velocity and porosity. Many scientists, including Pickett [5], Milholand [6], Domenico [7], Thomsen [8], Han [9], Krief [10], Castagna [11] and Greenberg [12] have done very useful research in this area and various relationships have been developed and presented. These relations are valid for the saturated rocks with brine.
Gassman formulas have been introduced to extend these experimental formulas to other fluids contents. In 1986, Han offered empirical regression formulas for elastic waves in laboratory condition which would estimate the speed based on porosity and clay content. In 1989, Eberhart added the pressure parameter to Han’s equation for shale sand rocks. Years before, Tosaya and Nur [13] and Castagna et al . [11] presented empirical formulas for shale sand rocks based on velocity, porosity and clay parameters.
Other methods are artificial intelligence techniques such as neural networks and fuzzy logic [14–16]. Although their estimates are associated with less error, these methods also present a specific model for each different field, and the results from one field cannot be applied to other fields.
There are two methods to calculate the elastic coefficients. The first one is the static method (destructive) and the other one is the dynamic (non-destructive) method. In the static method, elastic parameters of rock are calculated from laboratory measurements such as the uniaxial compressive strength of cores. But in a dynamic method, assuming that rocks are elastic, the coefficients are determined from propagating shear and compressional waves in rock and measuring waves travel time, without damaging the rock [17].
Currently, there is no unique empirical formula or comprehensive theory that could be utilized to determine the elastic wave velocity and elastic coefficients at different environmental conditions, type of fluid and rock. In this paper, experimental data (elastic wave propagation velocity) has been gathered using a sample saturated with water and supercritical carbon dioxide at different reservoir pressure. Then while the common fluid (brine) was replaced by critical CO 2, the elastic wave velocity values were calculated using Gassman formulas and Greenberg - Castagna empirical equations and the results were compared with direct laboratory observations.
2.2 Methodology
2.1.2 Estimating the Shear Wave Velocity
A major part of the seismic signal analysis in regards to rock physics models relates shear wave velocity to mineralogy and porosity. Rock physics analysis based on logs and cores and the relation of these to the geological model, leads to the establishment of a relationship between velocity and porosity. Formulation of the relation between rock velocity and rock properties like porosity was initiated by Gassman [18] and revised later on by Mavko and Mukerji [19] and Mavko et al . [20]. Other studies on this subject include Wyllie et al . [21], Raymer et al . [22], Castagna et al . [11], Han [23], Raiga-Clemenceau and colleagues [24], Eberhart [25], and the critical porosity model of Wang and Nur [26].
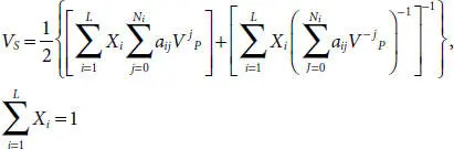
Greenberg - Castagna model is utilized in this study to estimate the shear wave velocity of a rock sample. Greenberg and Castagna (1993) presented an empirical formula for multi-mineral rocks saturated in brine:
(2.1) 
where L is the number of lithology in the formation, Xi is the percentage of the volume of lithology, aij is regression coefficient, Ni is the degree of polynomial regression for the targeted lithology, Vp and Vs are compression and shear wave velocities (Km/s).
This formula estimates shear wave velocity using compressional wave velocity in pure unit minerals, saturated in water. Regression coefficients of the formula for four different lithologies were presented by Greenberg and Castagna [12].
To estimate the shear wave velocity of a brine saturated rock using Greenberg - Castagna, formula, one needs to find a way to replace the existing fluid with brine as a common fluid. This work is done by utilizing Gassman relations. In fact, by brine replacement, a similar condition is assumed for the whole environment. Then the compressional wave velocity is obtained for brine saturated situation using the following formulas. Finally, the shear wave velocity is obtained from the estimated compressional wave velocity.
Replacing different types of pore fluids with brine, and keeping the rest of the physical properties of the rock (e.g. porosity) intact, the compressional wave modulus of the rock will also be changed [27]. Compressional wave modulus is expressed as a linear combination of bulk modulus and shear modulus:
Читать дальше