Neil McCartney - Properties for Design of Composite Structures

Здесь есть возможность читать онлайн «Neil McCartney - Properties for Design of Composite Structures» — ознакомительный отрывок электронной книги совершенно бесплатно, а после прочтения отрывка купить полную версию. В некоторых случаях можно слушать аудио, скачать через торрент в формате fb2 и присутствует краткое содержание. Жанр: unrecognised, на английском языке. Описание произведения, (предисловие) а так же отзывы посетителей доступны на портале библиотеки ЛибКат.

Properties for Design of Composite Structures: краткое содержание, описание и аннотация

Предлагаем к чтению аннотацию, описание, краткое содержание или предисловие (зависит от того, что написал сам автор книги «Properties for Design of Composite Structures»). Если вы не нашли необходимую информацию о книге — напишите в комментариях, мы постараемся отыскать её.

PROPERTIES FOR DESIGN OF COMPOSITE STRUCTURES
A comprehensive guide to analytical methods and source code to predict the behavior of undamaged and damaged composite materials Properties for Design of Composite Structures: Theory and Implementation Using Software
Properties for Design of Composite Structures: Theory and Implementation Using Software

Properties for Design of Composite Structures — читать онлайн ознакомительный отрывок

Ниже представлен текст книги, разбитый по страницам. Система сохранения места последней прочитанной страницы, позволяет с удобством читать онлайн бесплатно книгу «Properties for Design of Composite Structures», без необходимости каждый раз заново искать на чём Вы остановились. Поставьте закладку, и сможете в любой момент перейти на страницу, на которой закончили чтение.

Тёмная тема
Сбросить

Интервал:

Закладка:

Сделать

Properties for Design of Composite Structures - изображение 269(3.13)

The corresponding strain field obtained from (2.142) is then given by

314 The stress field follows from stressstrain relations expressed in the - фото 270(3.14)

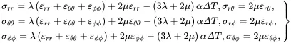
The stress field follows from stress-strain relations expressed in the form (see (2.160) for the Cartesian equivalent)

315 where λ and μ are Lamés constants and where α is now the linear - фото 271(3.15)

where λ and μ are Lamé’s constants and where α is now the linear coefficient of thermal expansion. On using the equilibrium equations (2.130)–(2.133), it can be shown that, within the spherical particle of radius a , the resulting bounded displacement and stress fields are given by

316 317 where kp λp23μp and μp are the bulk and shear moduli - фото 272(3.16)

317 where kp λp23μp and μp are the bulk and shear moduli respectively - фото 273(3.17)

where kp= λp+23μp and μp are the bulk and shear moduli, respectively, for the particulate reinforcement, and where αp is the corresponding thermal expansion coefficient. Clearly the strain and stress distributions within the particle are both uniform. For the matrix region it can be shown that

318 319 where km λm23μm and μm are the bulk and shear moduli - фото 274(3.18)

319 where km λm23μm and μm are the bulk and shear moduli respectively - фото 275(3.19)

where km= λm+23μm and μm are the bulk and shear moduli, respectively, for the matrix, and where αm is the corresponding thermal expansion coefficient. The stress component σrr is automatically continuous across r = a having the value −p0. As the displacement component ur must also be continuous across this interface, the value of p 0must satisfy the relation

320 332 Applying Maxwells Methodology to Isotropic Multiphase - фото 276(3.20)

3.3.2 Applying Maxwell’s Methodology to Isotropic Multiphase Particulate Composites

Owing to the use of the far-field in Maxwell’s methodology, it is again possible to consider multiple types of spherical reinforcement. The perturbing effect in the matrix at large distances from the cluster of particles is estimated by superimposing the perturbations caused by each particle, regarded as being isolated, and regarding all particles to be located at the origin. The properties of particles of type i are denoted by a superscript (i).

Relations ( 3.19) for nonzero stresses in the matrix are generalised to

321 where p0i is the pressure at the particlematrix interface when an - фото 277(3.21)

where p0i is the pressure at the particle/matrix interface when an isolated particle of species i is placed in infinite matrix material. From ( 3.20) the following value of p0i−p is obtained

322 It then follows that the stress distribution in the matrix at large - фото 278(3.22)

It then follows that the stress distribution in the matrix at large distances from the discrete cluster of particles shown in Figure 3.1(a) is approximately given by

323 where the volume fractions Vpi of particles of type i defined by 31 - фото 279(3.23)

where the volume fractions Vpi of particles of type i defined by ( 3.1) have been introduced.

When ( 3.23) is applied to a single sphere of radius b , having the effective properties of a composite representing the multiphase cluster of particles embedded in matrix material (see Figure 3.1(b)), the exact matrix stress distribution, for given values of keff and αeff, is

324 Maxwells methodology asserts that at large distances from the cluster - фото 280(3.24)

Maxwell’s methodology asserts that, at large distances from the cluster, the stress distributions ( 3.23) and ( 3.24), and hence the coefficients of p and ΔT, are identical leading to the following ‘mixtures’ rules for the functions 1/[1/k+3/(4μm)] and α/[1/k+3/(4μm)], respectively,

325 326 On using 31 the result 325 may be written as - фото 281(3.25)

326 On using 31 the result 325 may be written as 327 so that - фото 282(3.26)

On using ( 3.1), the result ( 3.25) may be written as

327 so that the effective bulk modulus of the multiphase particulate - фото 283(3.27)

so that the effective bulk modulus of the multiphase particulate composite may instead be obtained from a ‘mixtures’ relation for the quantity 1/(k+43κm). On using ( 3.1) and ( 3.27), the effective bulk modulus may be estimated using

328 It follows from 326 and 327 that the corresponding relation for - фото 284(3.28)

It follows from ( 3.26) and ( 3.27) that the corresponding relation for effective thermal expansion is

329 The bounds for effective bulk modulus of multiphase isotropic composites - фото 285(3.29)

The bounds for effective bulk modulus of multiphase isotropic composites derived by Hashin and Shtrikman [6, Equations ( 3.37)–( 3.43)] and the bounds derived by Walpole [7, Equation (26)] are identical and may be expressed in the following simpler form having the same structure as the result ( 3.27) derived using Maxwell’s methodology

330 where the parameters kmin and μmin are the lowest values of bulk and - фото 286(3.30)

where the parameters kmin and μmin are the lowest values of bulk and shear moduli of all phases in the composite, respectively, whereas kmax and μmax are the highest values.

The bounds for effective thermal expansion involve the effective bulk modulus, and the specification of bounds is complex and beyond the scope of this chapter. An analysis has been undertaken showing numerically, for a very wide range of parameter values, that the effective thermal expansion obtained using Maxwell’s methodology lies between the absolute bounds for all volume fractions of spherical particle distributions that are consistent with isotropic properties.

Читать дальше
Тёмная тема
Сбросить

Интервал:

Закладка:

Сделать

Похожие книги на «Properties for Design of Composite Structures»

Представляем Вашему вниманию похожие книги на «Properties for Design of Composite Structures» списком для выбора. Мы отобрали схожую по названию и смыслу литературу в надежде предоставить читателям больше вариантов отыскать новые, интересные, ещё непрочитанные произведения.


Отзывы о книге «Properties for Design of Composite Structures»

Обсуждение, отзывы о книге «Properties for Design of Composite Structures» и просто собственные мнения читателей. Оставьте ваши комментарии, напишите, что Вы думаете о произведении, его смысле или главных героях. Укажите что конкретно понравилось, а что нет, и почему Вы так считаете.

x