Этот род химической связи часто также называют «квантовомеханическим резонансом» (по сходству с двумя связанными маятниками, о котором мы уже говорили). Но звучит это таинственнее, чем оно есть на самом деле; это только тогда «резонанс», когда базисные состояния с самого начала неудачно выбраны, как у нас и было! А если выбрать состояние | II >, вы сразу получите наинизшее энергетическое состояние — и все.
Можно и по-иному объяснить, отчего энергия этого состояния должна быть ниже, чем у протона плюс атома водорода. Представим себе электрон возле двух протонов, удаленных на определенное, но не очень большое расстояние. Вы помните, что электрон возле одиночного протона «размазан» из-за принципа неопределенности. Он ищет равновесия, пытаясь раздобыть энергию пониже (низкую кулоновскую потенциальную энергию) и не оказаться при этом сжатым в пространстве чересчур тесно, что привело бы к высокой кинетической энергии (из-за соотношения неопределенности DрDх»h). Если же протонов два, то будет больше места, где у электрона может быть низкая потенциальная энергия. Он может размазаться (снижая тем самым свою кинетическую энергию), не повышая при этом своей потенциальной энергии. В итоге его энергия ниже, чем в атоме водорода. Тогда почему же у другого состояния | I > энергия выше? Но заметьте, что это состояние есть разность состояний | 1 > и | 2 > . Вследствие симметрии | 1 > и | 2 > разность должна иметь нулевую амплитуду того, что электрон окажется на полпути между протонами. Это означает, что электрон немного сильнее ограничен в пространстве, что и приводит к большей энергии.
Следует сказать, что наше приближенное рассмотрение иона H + 2как двухуровневой системы рассыпается в прах, едва лишь протоны сблизятся до минимума энергии на кривой фиг. 8.3; тогда больше не получается хорошего значения истинной энергии связи. На малых удалениях энергии двух «состояний» на самом деле уже не равны Е 0 ; требуется более тонкое квантовомеханическое рассмотрение.
Положим, мы теперь заинтересуемся, что случилось бы, если бы вместо двух протонов у нас были два разных объекта, скажем один протон и один положительный ион лития (причем обе частицы по-прежнему имеют по единичному положительному заряду). В этом случае два члена Н 11 и H 22в гамильтониане больше не совпадали бы; они были бы совершенно различны. Если бы оказалось, что разность ( H 11- H 22) по абсолютной величине много больше А =- H 12, то сила притяжения стала бы очень слабой. В этом можно убедиться следующим образом.
Если в (8.3) подставить H 12 H 21= A 2, то мы получим

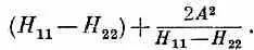
Когда H 11- H 22много больше А 2 , корень довольно точно равен

Тогда энергии обращаются в

Теперь они почти вплотную совпадают с энергиями H 11и H 22изолированных атомов и только чуть-чуть отличаются из-за наличия амплитуды перескока А.
Разность энергий (Е I - Е II ) равна

Добавка к расстоянию между уровнями из-за переброса электрона уже не равна 2А ; она составляет А /(Н 11 - Н 22 ) — часть этой величины (что по предположению много меньше единицы). Кроме того, сама зависимость Е I - Е II от расстояния между ядрами сейчас намного слабее, чем для иона Н + 2: в нее тоже входит множитель А / (Н 11 - Н 22). Можно поэтому понять, отчего связь несимметричных двуатомных молекул, как правило, очень слаба.
В нашей теории иона Н + 2мы открыли объяснение механизма, с помощью которого электрон, распределенный между двумя протонами, создает в итоге силу притяжения между ними даже тогда, когда они очень удалены друг от друга. Сила притяжения проистекает от уменьшения энергии системы, вызываемого тем, что у электрона есть возможность прыгать от одного протона к другому. При таких прыжках система переходит от конфигурации атом водорода — протон к конфигурации протон — атом водорода и обратно. Процесс символически можно записать так:
Читать дальше