
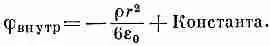
(12.23)
Для внутренних точек вклад в поле дают только заряды Q ( r ), находящиеся внутри сферы радиусом r ; Q ( r ) =4pг 3r/3, следовательно,

(12.24)
Поле растет линейно с r. Интегрируя Е, получаем j:


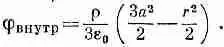
На расстоянии радиуса а j внешндолжен совпадать с j внутр) поэтому постоянная должна быть равна rа 2/2e 0. (Мы предполагаем, что потенциал j равен нулю на больших расстояниях от источника, а это для нейтронов будет отвечать обращению .N в нуль.) Следовательно,
(12.25)

Теперь мы сразу же найдем плотность нейтронов в нашей диффузионной задаче
(12.26)

и
(12.27)
На фиг. 12.7 представлена зависимость N от r.
Чему же теперь равно отношение плотности в центре к плотности на краю? В центре (r=0) оно пропорционально За 2/2, а на краю ( r =а) пропорционально 2а 2/2; поэтому отношение плотностей равно 3/2. Однородный источник не дает однородной плотности нейтронов. Как видите, наши познания в электростатике дают хорошую затравку для изучения физики ядерных реакторов.
Диффузия играет большую роль во многих физических обстоятельствах. Движение ионов через жидкость или электронов через полупроводник подчиняется все тому же уравнению. Мы снова и снова приходим к одним и тем же уравнениям.
§ 5. Безвихревое течение жидкости; обтекание шара
Рассмотрим теперь пример, по существу, не такой уж хороший, потому что уравнения, которые мы будем использовать, на самом деле не описывают новый объект полностью, а отвечают лишь некоторым идеализированным условиям. Это задача о течении воды. Когда мы разбирали случай натянутой пленки, то наши уравнения представляли приближение, справедливое лишь для малых отклонений. При рассмотрении течения воды мы прибегнем к приближению другого рода; мы должны принять ограничения, которые, вообще говоря, к обычной воде неприменимы. Мы разберем только случай постоянного течения несжимаемой, невязкой, лишенной завихрений жидкости. Потом мы опишем течение, задав ему скорость v(r) как функцию положения г. Если движение постоянно (единственный случай, для которого имеется электростатическая аналогия), v не зависит от времени. Если r — плотность жидкости, то rv — масса жидкости, проходящая в единицу времени через единичную площадку. Из закона сохранения вещества дивергенция pv, вообще говоря, равна изменению со временем массы вещества в единице объема. Мы предположим, что процессы непрерывного рождения или уничтожения вещества отсутствуют. Сохранение вещества требует тогда, чтобы С·rv=0. (В правой части должно было бы стоять, вообще говоря, — d r / dt , но поскольку наша жидкость несжимаема, то r меняться не может.) Так как r повсюду одинаково, то его можно вынести, и наше уравнение запишется просто
С·v=0.
Чудесно! Снова получилась электростатика (без зарядов); уравнение совсем похоже на С·E=0. Ну не совсем! В электростатике не просто С·E=0. Есть два уравнения. Одно уравнение еще не дает нам всего; нужно дополнительное уравнение. Чтобы получилось совпадение с электростатикой, у нас rot от v должен был бы равняться нулю. Но для настоящих жидкостей это вообще не так. В большинстве их обычно возникают вихри. Следовательно, мы ограничиваемся случаем, когда циркуляция жидкости отсутствует. Такое течение часто называют безвихревым. Как бы то ни было, принимая наши предположения, можно представить себе течение жидкости, аналогичное электростатике. Итак, мы берем
С·v=0 (12.28)
и
СXv = 0. (12.29)
Мы хотим подчеркнуть, что условия, при которых течение жидкости подчиняется этим уравнениям, встречаются весьма нечасто, но все-таки бывают. Это должны быть случаи, когда поверхностным натяжением, сжимаемостью и вязкостью можно пренебречь и когда течение можно считать безвихревым. Эти условия выполняются столь редко для обычной воды, что математик Джон фон Нейман сказал по поводу тех, кто анализирует уравнения (12.28) и (12.29), что они изучают «сухую воду»!
Читать дальше