Александр Полулях - Грохочение угля

Здесь есть возможность читать онлайн «Александр Полулях - Грохочение угля» — ознакомительный отрывок электронной книги совершенно бесплатно, а после прочтения отрывка купить полную версию. В некоторых случаях можно слушать аудио, скачать через торрент в формате fb2 и присутствует краткое содержание. Год выпуска: 2020, Жанр: Прочая научная литература, на русском языке. Описание произведения, (предисловие) а так же отзывы посетителей доступны на портале библиотеки ЛибКат.

Грохочение угля: краткое содержание, описание и аннотация

Предлагаем к чтению аннотацию, описание, краткое содержание или предисловие (зависит от того, что написал сам автор книги «Грохочение угля»). Если вы не нашли необходимую информацию о книге — напишите в комментариях, мы постараемся отыскать её.

Рассмотрены вопросы и обобщен опыт грохочения угля. Представлены результаты разработки нового способа подготовки машинных классов из рядового угля – гидромеханического. Изложены основы теории мокрого вибро-, гидро-, гидромеханического и гидравлического грохочения, а также описаны конструкции, технические характеристики и показатели работы оборудования, применяющегося при подготовительном грохочении. Предназначена для научных работников и специалистов, работающих в углеобогатительной отрасли, а также студентов и аспирантов горных вузов, обучающихся по специальности «Обогащение полезных ископаемых».

Грохочение угля — читать онлайн ознакомительный отрывок

Ниже представлен текст книги, разбитый по страницам. Система сохранения места последней прочитанной страницы, позволяет с удобством читать онлайн бесплатно книгу «Грохочение угля», без необходимости каждый раз заново искать на чём Вы остановились. Поставьте закладку, и сможете в любой момент перейти на страницу, на которой закончили чтение.

Тёмная тема
Сбросить

Интервал:

Закладка:

Сделать
При m0 имеем p0 невозможность когда ни один случай не благоприятствует - фото 144

При m=0 имеем p=0 – невозможность, когда ни один случай не благоприятствует наступлению события, при m=n имеем p=1 – достоверность, когда каждый случай благоприятствует событию.

Величина N , обратная вероятности p , определяет вероятное число случаев, при котором данное событие может иметь место

Предположим что мы имеем сито из бесконечно тонкой проволоки с квадратными - фото 145

Предположим, что мы имеем сито из бесконечно тонкой проволоки с квадратными отверстиями величиной l . Допустим также, что шарообразные частицы диаметром d при грохочении падают перпендикулярно к плоскости сита. Будем считать, что зерна проходят через отверстия беспрепятственно, если не касаются проволоки, т. е. центр частицы при падении проектируется на заштрихованную площадь (l - d) 2 (рис. 1.20, а ).

Можно считать, что число случаев, благоприятствующих прохождению зерна через отверстие, пропорционально заштрихованной площади (l - d) 2 , а число всех возможных случаев падения частицы на отверстие пропорционального его площади l 2 . Вероятность прохождения зерна через отверстие определится отношением площадей

Тогда величина N обратная вероятности p определит вероятное число - фото 146

Тогда величина N , обратная вероятности p , определит вероятное число отверстий, которое необходимо встретить частице, чтобы в одно из них пройти сквозь сито.

Рис 120 Схема прохождения частицы через отверстие сита Значения величин p и - фото 147

Рис. 1.20. Схема прохождения частицы через отверстие сита

Значения величин p и N для различных отношений d / l приведены в табл. 1.10, по данным которой построен график (рис. 1.21). Из графика видно, что небольшое увеличение диаметра частицы сверх 0,75 l вызывает значительное возрастание числа отверстий для прохождения частицы сквозь сито.

Таблица 1.10

Вероятность прохождения зерна через отверстие в зависимости от его относительного размера

Следовательно теория вероятностей подтверждает принятое практикой деление - фото 148

Следовательно, теория вероятностей подтверждает принятое практикой деление частиц на «легкие» (d<0,75l) и «трудные» (d>0,75l) .

Если учесть толщину проволок сита (рис. 1.20, б ), то, рассуждая аналогично предыдущему, получим следующее выражение для вероятности прохождения частицы сквозь сито:

Первый член этого выражения коэффициент живого сечения сита Отсюда видно - фото 149

Первый член этого выражения – коэффициент живого сечения сита. Отсюда видно, что вероятность прохождения частицы прямо пропорциональна живому сечению сита.

На основе рассмотренного определения вероятности прохождения частиц сквозь сито можно установить эффективность грохочения частиц диаметром x=d / l (весьма узкого класса).

Согласно формуле (1.101) имеем

где L коэффициент живого сечения сита в долях единицы Рис 121 - фото 150

где L – коэффициент живого сечения сита в долях единицы.

Рис 121 Вероятность прохождения частицы сквозь сито в зависимости от - фото 151

Рис. 1.21. Вероятность прохождения частицы сквозь сито в зависимости от относительного его размера

Число отверстий N , которое надо встретить частицам, составляющим рассматриваемый узкий класс, для полного прохождения сквозь сито, равно

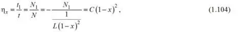
Встреча с этим числом отверстий обеспечивается при определенной - фото 152

Встреча с этим числом отверстий обеспечивается при определенной продолжительности грохочения t . Если время грохочения t 1 меньше t , то частицы просеваемого узкого класса встретят число отверстий N 1 , меньшее N , и пройдут сквозь сито не полностью. Извлечение этого узкого класса в подрешетный продукт (эффективность грохочения по данному классу)

где C постоянный для данного грохота коэффициент пропорциональности Для - фото 153

где C – постоянный для данного грохота коэффициент пропорциональности.

Для приближенных подсчетов можно пользоваться эмпирической формулой

Читать дальше
Тёмная тема
Сбросить

Интервал:

Закладка:

Сделать

Похожие книги на «Грохочение угля»

Представляем Вашему вниманию похожие книги на «Грохочение угля» списком для выбора. Мы отобрали схожую по названию и смыслу литературу в надежде предоставить читателям больше вариантов отыскать новые, интересные, ещё непрочитанные произведения.


Отзывы о книге «Грохочение угля»

Обсуждение, отзывы о книге «Грохочение угля» и просто собственные мнения читателей. Оставьте ваши комментарии, напишите, что Вы думаете о произведении, его смысле или главных героях. Укажите что конкретно понравилось, а что нет, и почему Вы так считаете.

x