Александр Полулях - Грохочение угля

Здесь есть возможность читать онлайн «Александр Полулях - Грохочение угля» — ознакомительный отрывок электронной книги совершенно бесплатно, а после прочтения отрывка купить полную версию. В некоторых случаях можно слушать аудио, скачать через торрент в формате fb2 и присутствует краткое содержание. Год выпуска: 2020, Жанр: Прочая научная литература, на русском языке. Описание произведения, (предисловие) а так же отзывы посетителей доступны на портале библиотеки ЛибКат.

Грохочение угля: краткое содержание, описание и аннотация

Предлагаем к чтению аннотацию, описание, краткое содержание или предисловие (зависит от того, что написал сам автор книги «Грохочение угля»). Если вы не нашли необходимую информацию о книге — напишите в комментариях, мы постараемся отыскать её.

Рассмотрены вопросы и обобщен опыт грохочения угля. Представлены результаты разработки нового способа подготовки машинных классов из рядового угля – гидромеханического. Изложены основы теории мокрого вибро-, гидро-, гидромеханического и гидравлического грохочения, а также описаны конструкции, технические характеристики и показатели работы оборудования, применяющегося при подготовительном грохочении. Предназначена для научных работников и специалистов, работающих в углеобогатительной отрасли, а также студентов и аспирантов горных вузов, обучающихся по специальности «Обогащение полезных ископаемых».

Грохочение угля — читать онлайн ознакомительный отрывок

Ниже представлен текст книги, разбитый по страницам. Система сохранения места последней прочитанной страницы, позволяет с удобством читать онлайн бесплатно книгу «Грохочение угля», без необходимости каждый раз заново искать на чём Вы остановились. Поставьте закладку, и сможете в любой момент перейти на страницу, на которой закончили чтение.

Тёмная тема
Сбросить

Интервал:

Закладка:

Сделать
или разделив на массу исходного продукта Пользуясь определением выхода - фото 119

или, разделив на массу исходного продукта,

Пользуясь определением выхода получим Баланс продуктов по классу больше - фото 120

Пользуясь определением выхода, получим

Баланс продуктов по классу больше крупности разделения или разделив на массу - фото 121

Баланс продуктов по классу больше крупности разделения

или разделив на массу исходного продукта Пользуясь определением выхода - фото 122

или, разделив на массу исходного продукта,

Пользуясь определением выхода получим Извлечением называется отношение массы - фото 123

Пользуясь определением выхода, получим

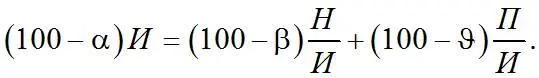
Извлечением называется отношение массы класса заданной крупности находящегося в - фото 124

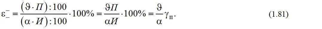
Извлечением называется отношение массы класса заданной крупности находящегося в продукте разделения к массе этого класса, содержащегося в исходном материале, выраженное в процентах.

Извлечение класса меньше крупности разделения в подрешетный продукт

Подставляя в выражение 179 значение γ н из выражения 178 и преобразуя - фото 125

Подставляя в выражение (1.79) значение γ н из выражения (1.78) и преобразуя относительно γ п , получим

Подставляя γ п из 182 в выражение 181 окончательно получим Извлечение - фото 126

Подставляя γ п из (1.82) в выражение (1.81) окончательно получим

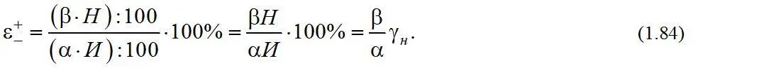
Извлечение класса меньше крупности разделения в надрешетный продукт Подставляя - фото 127

Извлечение класса меньше крупности разделения в надрешетный продукт

Подставляя в выражение 179 значение γ п из выражения 178 и преобразуя - фото 128

Подставляя в выражение (1.79) значение γ п из выражения (1.78) и преобразуя относительно γ н , получим

Подставляя γ н из 185 в выражение 184 окончательно получим Извлечение - фото 129

Подставляя γ н из (1.85) в выражение (1.84) окончательно получим

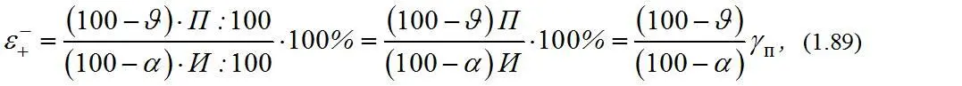
Извлечение класса больше крупности разделения в надрешетный продукт или - фото 130

Извлечение класса больше крупности разделения в надрешетный продукт

или используя выражение 185 Извлечение класса больше крупности разделения - фото 131

или, используя выражение (1.85)

Извлечение класса больше крупности разделения в подрешетный продукт или - фото 132

Извлечение класса больше крупности разделения в подрешетный продукт

или используя выражение 182 Баланс класса меньше крупности разделения по - фото 133

или, используя выражение (1.82)

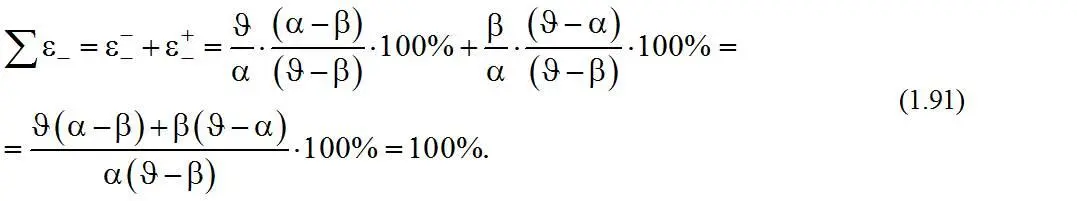
Баланс класса меньше крупности разделения по извлечению Баланс класса больше - фото 134

Баланс класса меньше крупности разделения по извлечению

Баланс класса больше крупности разделения по извлечению 143 Эффективность - фото 135

Баланс класса больше крупности разделения по извлечению

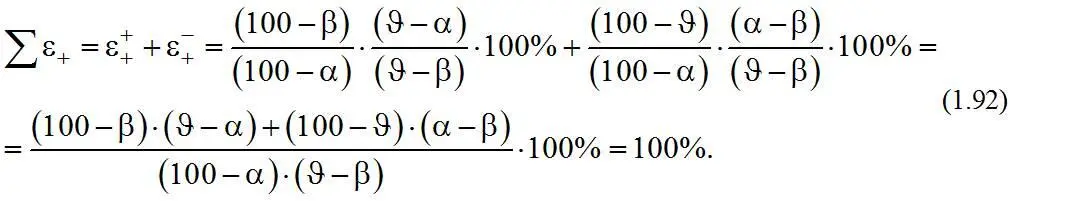
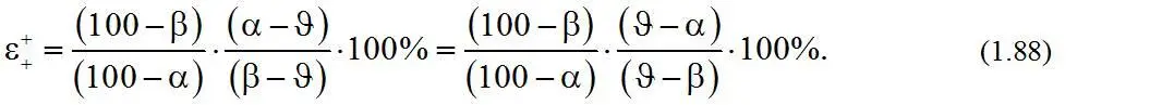
143 Эффективность грохочения Для количественной оценки полноты отделения - фото 136

1.4.3. Эффективность грохочения

Для количественной оценки полноты отделения мелкого материала от крупного при грохочении введено понятие эффективности грохочения.

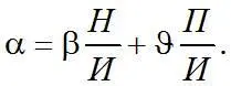
Эффективностью грохочения называется выраженное в процентах или в долях единицы отношение массы подрешетного продукта к массе нижнего класса в исходном материале.

При отсутствии в подрешетном продукте классов больше крупности разделения т - фото 137

При отсутствии в подрешетном продукте классов больше крупности разделения, т. е. ϴ=100 %, выражение (1.93) приобретает следующий вид

Рассматривая грохочение как операцию разделения на два продукта для оценки - фото 138

Рассматривая грохочение как операцию разделения на два продукта, для оценки процесса используют критерии эффективности грохочения (которые ошибочно называют также эффективностью грохочения).

Читать дальше
Тёмная тема
Сбросить

Интервал:

Закладка:

Сделать

Похожие книги на «Грохочение угля»

Представляем Вашему вниманию похожие книги на «Грохочение угля» списком для выбора. Мы отобрали схожую по названию и смыслу литературу в надежде предоставить читателям больше вариантов отыскать новые, интересные, ещё непрочитанные произведения.


Отзывы о книге «Грохочение угля»

Обсуждение, отзывы о книге «Грохочение угля» и просто собственные мнения читателей. Оставьте ваши комментарии, напишите, что Вы думаете о произведении, его смысле или главных героях. Укажите что конкретно понравилось, а что нет, и почему Вы так считаете.

x