Константин Ефанов - Аппараты с перемешивающими устройствами

Здесь есть возможность читать онлайн «Константин Ефанов - Аппараты с перемешивающими устройствами» — ознакомительный отрывок электронной книги совершенно бесплатно, а после прочтения отрывка купить полную версию. В некоторых случаях можно слушать аудио, скачать через торрент в формате fb2 и присутствует краткое содержание. Год выпуска: 2021, ISBN: 2021, Издательство: Array SelfPub.ru, Жанр: Физика, Технические науки, на русском языке. Описание произведения, (предисловие) а так же отзывы посетителей доступны на портале библиотеки ЛибКат.

Аппараты с перемешивающими устройствами: краткое содержание, описание и аннотация

Предлагаем к чтению аннотацию, описание, краткое содержание или предисловие (зависит от того, что написал сам автор книги «Аппараты с перемешивающими устройствами»). Если вы не нашли необходимую информацию о книге — напишите в комментариях, мы постараемся отыскать её.

Монография написана по проблемам проектирования химических и нефтяных аппаратов с перемешивающими устройствами. Подробно рассмотрен расчет вала на резонанс вручную по теории колебаний и теория расчета на компьютере.

Аппараты с перемешивающими устройствами — читать онлайн ознакомительный отрывок

Ниже представлен текст книги, разбитый по страницам. Система сохранения места последней прочитанной страницы, позволяет с удобством читать онлайн бесплатно книгу «Аппараты с перемешивающими устройствами», без необходимости каждый раз заново искать на чём Вы остановились. Поставьте закладку, и сможете в любой момент перейти на страницу, на которой закончили чтение.

Тёмная тема
Сбросить

Интервал:

Закладка:

Сделать
Прогиб в сечении I от силы Q 2 c a 2 и y l a 2 Суммарный прогиб в - фото 187

Прогиб в сечении I от силы Q 2 ( c = a 2 и y = l a 2)

Аппараты с перемешивающими устройствами - изображение 188

Суммарный прогиб в сечении

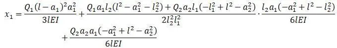
Аппараты с перемешивающими устройствами - изображение 189 Формула прогиба в сечении I зависит от силы Q 1 и силы Q 2 Группируются - фото 190

Формула прогиба в сечении I зависит от силы Q 1 и силы Q 2 . Группируются члены, содержащие силу Q 1 c получением формулы прогиба в сечении от силы равной Q 1 , приложенной в сечении I:

Если в эту формулу вести Q 1 1 то формула покажет прогиб в сечении I от - фото 191

Если в эту формулу вести Q 1 = 1 , то формула покажет прогиб в сечении I от единичной силы, приложенной в сечении I:

Если в полученном уравнении Q 2 1 если в эту формулу вести Q 2 1 Прогиб - фото 192

Если в полученном уравнении Q 2 = 1

если в эту формулу вести Q 2 1 Прогиб в сечении II от силы Q 1 Прогиб в - фото 193

если в эту формулу вести Q 2 = 1 ,

Прогиб в сечении II от силы Q 1 Прогиб в сечении II от силы R C Прогиб в - фото 194

Прогиб в сечении II от силы Q 1

Прогиб в сечении II от силы R C Прогиб в сечении II от силы Q 2 Полный - фото 195

Прогиб в сечении II от силы R C

Прогиб в сечении II от силы Q 2 Полный прогиб в сечении II Группируя члены - фото 196

Прогиб в сечении II от силы Q 2

Полный прогиб в сечении II Группируя члены для сил Q 1 и Q 2 и принимая эти - фото 197

Полный прогиб в сечении II

Группируя члены для сил Q 1 и Q 2 и принимая эти силы равными 1 Теперь - фото 198

Группируя члены для сил Q 1 и Q 2 и принимая эти силы равными 1:

Теперь решаются уравнения прогибов х 1 и х 2 Коэффициент k 3 заменяется на - фото 199

Теперь решаются уравнения прогибов х 1 и х 2 . Коэффициент k 3 заменяется на равный k 2 .

Вал совершает гармонические колебания Производные этих последних уравнений по - фото 200

Вал совершает гармонические колебания:

Производные этих последних уравнений по времени Теперь в полученные ранее - фото 201

Производные этих последних уравнений по времени:

Теперь в полученные ранее формулы для х 1 и х 2 подставляются вторые - фото 202 Теперь в полученные ранее формулы для х 1 и х 2 подставляются вторые - фото 203

Теперь в полученные ранее формулы для х 1 и х 2 подставляются вторые производные:

После преобразований Для определения частоты р необходимо приравнять нулю - фото 204

После преобразований:

Для определения частоты р необходимо приравнять нулю определитель После - фото 205

Для определения частоты р необходимо приравнять нулю определитель:

После группировки членов содержащих р 2и р 4 Полученная формула решается для - фото 206

После группировки членов, содержащих р 2и р 4:

Аппараты с перемешивающими устройствами - фото 207

Полученная формула решается для нахождения р 2:

В результате решения получаются два значения частот соответствующих двум - фото 208 В результате решения получаются два значения частот соответствующих двум - фото 209 В результате решения получаются два значения частот соответствующих двум - фото 210

В результате решения получаются два значения частот, соответствующих двум возможным формам колебания вала. При первой форме два груза движутся вверх, при второй форме один груз движется вверх, а другой груз движется вниз.

Аппараты с перемешивающими устройствами - изображение 211

Критические скорости вала:

Читать дальше
Тёмная тема
Сбросить

Интервал:

Закладка:

Сделать

Похожие книги на «Аппараты с перемешивающими устройствами»

Представляем Вашему вниманию похожие книги на «Аппараты с перемешивающими устройствами» списком для выбора. Мы отобрали схожую по названию и смыслу литературу в надежде предоставить читателям больше вариантов отыскать новые, интересные, ещё непрочитанные произведения.


Отзывы о книге «Аппараты с перемешивающими устройствами»

Обсуждение, отзывы о книге «Аппараты с перемешивающими устройствами» и просто собственные мнения читателей. Оставьте ваши комментарии, напишите, что Вы думаете о произведении, его смысле или главных героях. Укажите что конкретно понравилось, а что нет, и почему Вы так считаете.

x