
где интеграл берется от 0 до а — радиуса стержня. После интегрирования получаем

Если закручивать стержень, то его момент оказывается пропорциональным углу и четвертой степени диаметра: стержень вдвое большего радиуса в шестнадцать раз жестче относительно кручения.
Прежде чем расстаться с кручением, рассмотрим применение теории к одной интересной задаче — волнам кручения. Возьмем длинный стержень и неожиданно закрутим один его конец; вдоль стержня, как показано на фиг. 38.10, а, пойдет волна кручения.

Фиг. 38.10. Волна кручения в стержне (а) и элемент объема стержня (б).
Это явление более интересно, нежели простое статическое скручивание. Посмотрим, можем ли мы понять, как это происходит.
Пусть z — расстояние от некоторой точки до основания стержня. Для статического закручивания момент сил на всем протяжении стержня один и тот же и пропорционален j / L — полному углу вращения на полную длину. Но в нашей задаче важна местная деформация кручения, которая, как вы сразу поймете, равна д j / д z . Если кручение вдоль стержня неравномерное, то уравнение (38.25) следует заменить таким:

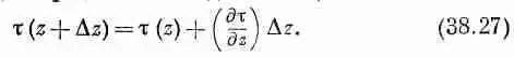
Посмотрим теперь, что же происходит с элементом длины Dz, который показан в увеличенном масштабе на фиг. 38.10, б. На конце 1 маленького отрезка стержня действует момент t(z), а на конце 2— другой момент сил t(z+Dz). Если величина Dz достаточно мала, то можно воспользоваться разложением в ряд Тэйлора и, сохранив только два члена, написать

Полный момент сил Dt, действующий на маленький отрезок стержня между z и Dz, равен разности t(z) и
t(z+Dz),
или
Dt=( д t / д z)Dz.
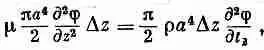
Дифференцируя уравнение (38.26), получаем

Действие этого полного момента должно вызвать угловое ускорение отрезка стержня. Масса его равна

где r — плотность материала. В гл. 19 (вып. 2) мы нашли, что момент инерции кругового цилиндра равен mr 2/2; обозначая момент инерции нашего отрезка через Dl, получаем

Закон Ньютона говорит нам, что момент силы равен произведению момента инерции на угловое ускорение, или

Собирая теперь все воедино, находим

или

Вы, должно быть, уже узнали, что это такое: это одномерное волновое уравнение. Мы получили, что волны кручения распространяются по стержню со скоростью

Чем плотнее стержень при одной и той же жесткости, тем медленнее движется волна, а чем он жестче, тем волна бежит быстрее. Скорость ее не зависит от диаметра стержня.
Волны кручения представляют частный случай волн сдвига. Волны сдвига в общем случае — это такие волны, при которых деформация не изменяет объема любой части материала. В волнах кручения мы сталкиваемся с особым распределением напряжений сдвига — они распределены по кругу. Но волны при любом распределении напряжений сдвига будут распространяться с одной и той же скоростью, которая определяется формулой (38.32). Сейсмологи, например, обнаружили, что такие волны сдвига распространяются и внутри Земли.
Читать дальше