
преобразований Лоренца (25.1)1:
Но это как раз то, что мы нашли в гл. 13. Теперь нужно подставить эти источники в уравнение Максвелла в движущейся системе и найти поля.

Закон сохранения заряда в четырехмерных обозначениях тоже принимает очень простой вид. Рассмотрим четырехмерную дивергенцию вектора j m:
(25.18)

Закон сохранения заряда утверждает, что утекание тока из единицы объема должно быть равно отрицательной скорости увеличения плотности заряда. Иными словами,
Подставляя это в (25.18), получаем очень простую форму закона сохранения заряда:

(25.19)
Благодаря тому, что С mj m— инвариант, равенство его нулю в одной системе отсчета означает равенство нулю и во всех других. Таким образом, если заряд сохраняется в одной системе, он будет сохраняться и во всех других системах координат, движущихся относительно нее с постоянной скоростью.

В качестве последнего примера рассмотрим скалярное произведение оператора градиента С mна себя. В трехмерном пространстве такое произведение дает лапласиан
Что получится для четырех измерений? Вычислить это очень просто. Следуя нашему правилу скалярного произведения, находим


Этот оператор, представляющий аналог трехмерного лапласиана, называется даламбертианом и обозначается специальным

символом
(25.20)
По построению он является скалярным оператором, т. е., если подействовать им, скажем, на четырехвекторное поле, возникает новое четырехвекторное поле. [Иногда даламбертиан определяется с противоположным по отношению к (25.20) знаком, так что при чтении литературы будьте внимательны!]
Итак, для большинства величин, перечисленных нами в табл. 25.1, мы нашли их четырехмерные эквиваленты. (У нас еще нет эквивалента векторного произведения, но его нахождение мы оставим до следующей главы.) А теперь соберем в одно место все важнейшие результаты и определения и составим еще одну таблицу (табл. 25.2); она поможет вам лучше запомнить, что во что переходит.
§ 4. Электродинамика в четырехмерных обозначениях

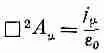
В гл. 18, § 6, мы уже сталкивались с оператором Даламбера, хотя и не знали, что он так называется. Мы нашли там дифференциальное уравнение для потенциалов, которое в новых обозначениях выглядит так:
(25.21)

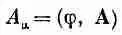
С правой стороны (25.21) стоят четыре величины r, j x , j , j z , поделенные на e 0— универсальную постоянную, одинаковую во всех системах координат, если во всех системах для измерения заряда используется одна и та же единица. Таким образом, четыре величины r/jе 0, j х/e 0, j y/e 0, j z/e 0тоже преобразуются как четырехвектор. Их можно записать в виде j z/е 0. Оператор Даламбера не изменяется при переходе к другим системам координат, так что четыре величины j, А х , А у и A z тоже должны преобразоваться как четырехвектор, т. е. должны быть компонентами четырехвектора. Короче говоря, величина
есть четырехвектор. То, что мы называли скалярным и векторным потенциалами, оказывается только разными частями от одной и той же физической величины. Они неотделимы друг от друга. А если это так, то релятивистская инвариантность мира очевидна. Вектор А m мы называем четырехмерным потенциалом (4-потенциалом).
В четырехмерных обозначениях (25.21) приобретает очень простой вид:

(25.22)
Физика этого уравнения та же, что и уравнений Максвелла. Но есть своя прелесть в том, что можно переписывать их в столь элегантной форме. Впрочем, эта красивая форма содержит и кое-что более значительное — из нее непосредственно видна инвариантность электродинамики относительно преобразований Лоренца.
Читать дальше